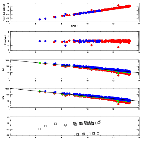
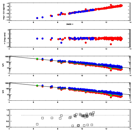
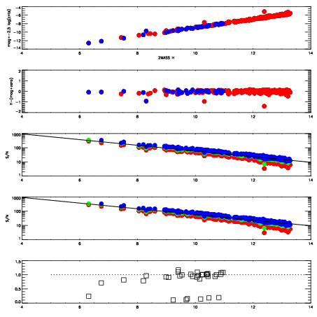
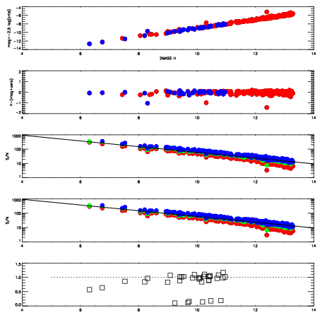
Left plots: red are targets, blue are telluric. Observed mags are calculated from median value of green chip. Zeropoint gives overall throughput: bigger number is more throughput.
First spatial plots: circles are objects, squares are tellurics, crosses are sky fibers. Colors give deviation of observed mag from expected 2MASS mag using the median zeropoint; red is brighter
Second spatial plots: circles are sky fibers. Colors give sky line brightness relative to plate median sky line brightness
FrameNreadsZeropointsMag plots Spatial mag deviation Spatial sky 16325A emission deviations (filled: sky, open: star) Spatial sky continuum emission Spatial sky telluric CO2 absorption deviations (filled: H < 10)
6740069 47
RedGreenBlue
z18.95
znorm14.77
sky 15.3 14.5 14.7
S/N 15.4 23.6 29.1
S/N(c) 13.8 22.2 27.4
SN(E/C) 0.93
6740070 47
RedGreenBlue
z19.01
znorm14.83
sky 14.6 14.6 15.0
S/N 15.5 23.9 30.0
S/N(c) 14.2 22.6 28.2
SN(E/C) 0.95
6740071 47
RedGreenBlue
z19.04
znorm14.86
sky 14.8 14.6 15.0
S/N 16.1 23.9 30.2
S/N(c) 14.5 22.5 28.5
SN(E/C) 0.97
6740072 47
RedGreenBlue
z18.96
znorm14.78
sky 14.8 14.7 15.0
S/N 15.3 23.0 29.1
S/N(c) 13.9 21.5 27.2
SN(E/C) 0.96