PLATE: 6355 MJD: 56265 FIELD: 210+04

FrameCartsec zseeingNreadsDitherPixshiftZerosky continuumS/NS/N(c)
7030047 3 1.14 1.46 47 0.00 -0.00 19.06 [14.89,14.38,14.29] [ 15.1, 24.6, 28.7] [ 13.2, 23.4, 27.0]
7030048 3 1.14 1.29 47 0.19 -0.00 19.10 [14.82,14.52,14.66] [ 15.4, 25.3, 28.5] [ 13.4, 24.0, 26.9]
7030049 3 1.14 1.17 47 0.21 -0.00 19.06 [14.92,14.58,14.58] [ 15.2, 24.7, 27.8] [ 13.4, 23.5, 26.1]
7030050 3 1.14 1.23 47 -0.11 -0.00 19.07 [14.97,14.54,14.66] [ 15.1, 24.9, 27.5] [ 13.1, 23.8, 26.1]
7030051 3 1.14 1.17 47 -0.11 -0.00 19.02 [14.75,14.62,14.66] [ 14.3, 24.1, 26.5] [ 12.8, 22.9, 25.4]
7030052 3 1.14 1.59 47 0.20 -0.00 18.91 [14.91,14.67,14.63] [ 13.7, 23.2, 24.8] [ 12.0, 21.9, 23.5]
7030053 3 1.14 1.48 47 0.20 0.00 19.01 [15.17,14.65,14.68] [ 14.9, 24.9, 26.8] [ 12.9, 23.6, 25.2]
7030054 3 1.15 1.27 47 -0.13 -0.00 19.05 [14.59,14.49,14.50] [ 15.2, 25.0, 26.3] [ 13.2, 23.7, 25.4]
7030055 3 1.15 1.29 47 -0.12 -0.00 19.06 [14.82,14.62,14.64] [ 15.5, 25.6, 26.3] [ 13.5, 24.3, 25.3]
7030056 3 1.16 1.29 47 0.20 0.00 19.01 [14.78,14.56,14.56] [ 15.0, 25.0, 25.3] [ 13.1, 23.6, 24.3]

IPAIRNAMESHIFTNEWSHIFTS/N NAMESHIFTNEWSHIFTS/N
0 07030049 0.209 0.000 296.96 07030047 0.000 0.209 297.25
1 07030048 0.192 0.017 299.48 07030050 -0.110 0.319 298.07
2 07030053 0.205 0.004 291.65 07030054 -0.126 0.335 296.19
3 07030056 0.195 0.014 290.62 07030055 -0.119 0.328 295.93
4 07030052 0.198 0.011 277.75 07030051 -0.109 0.318 292.36

Visit (multiple exposure and dither combined) spectra

FrameZeropointsMag plots Spatial mag deviation Spatial sky 16325A emission deviations (filled: sky, open: star) Spatial sky continuum emission Spatial sky telluric CO2 absorption deviations (filled: H < 10)
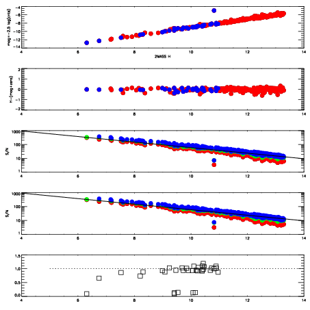
7030047
RedGreenBlue
z19.06
znorm14.88
sky 14.9 14.4 14.3
S/N 15.1 24.6 28.7
S/N(c) 13.2 23.4 27.0
SN(E/C) 0.91
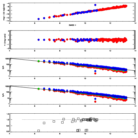
7030048
RedGreenBlue
z19.10
znorm14.92
sky 14.8 14.5 14.7
S/N 15.4 25.3 28.5
S/N(c) 13.4 24.0 26.9
SN(E/C) 0.94
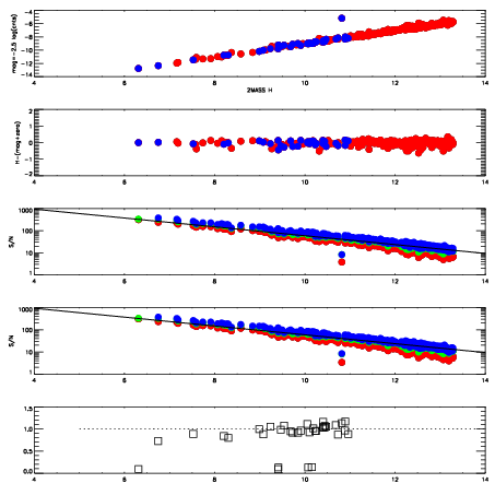
7030049
RedGreenBlue
z19.06
znorm14.88
sky 14.9 14.6 14.6
S/N 15.2 24.7 27.8
S/N(c) 13.4 23.5 26.1
SN(E/C) 0.96
7030050
RedGreenBlue
z19.07
znorm14.89
sky 15.0 14.5 14.7
S/N 15.1 24.9 27.5
S/N(c) 13.1 23.8 26.1
SN(E/C) 0.95
7030051
RedGreenBlue
z19.02
znorm14.84
sky 14.7 14.6 14.7
S/N 14.3 24.1 26.5
S/N(c) 12.8 22.9 25.4
SN(E/C) 0.93
7030052
RedGreenBlue
z18.91
znorm14.73
sky 14.9 14.7 14.6
S/N 13.7 23.2 24.8
S/N(c) 12.0 21.9 23.5
SN(E/C) 0.96
7030053
RedGreenBlue
z19.01
znorm14.83
sky 15.2 14.6 14.7
S/N 14.9 24.9 26.8
S/N(c) 12.9 23.6 25.2
SN(E/C) 0.97
7030054
RedGreenBlue
z19.05
znorm14.87
sky 14.6 14.5 14.5
S/N 15.2 25.0 26.3
S/N(c) 13.2 23.7 25.4
SN(E/C) 0.93
7030055
RedGreenBlue
z19.06
znorm14.88
sky 14.8 14.6 14.6
S/N 15.5 25.6 26.3
S/N(c) 13.5 24.3 25.3
SN(E/C) 0.96
7030056
RedGreenBlue
z19.01
znorm14.83
sky 14.8 14.6 14.6
S/N 15.0 25.0 25.3
S/N(c) 13.1 23.6 24.3
SN(E/C) 0.97