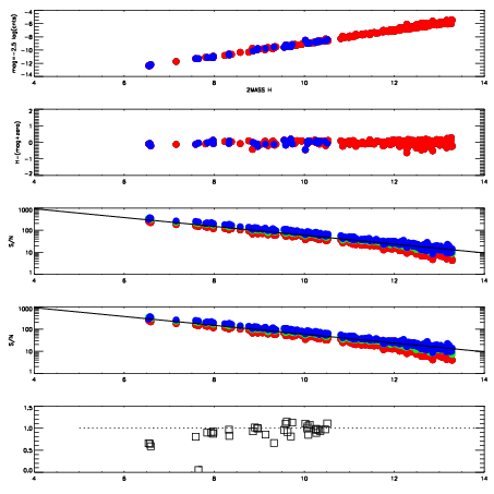
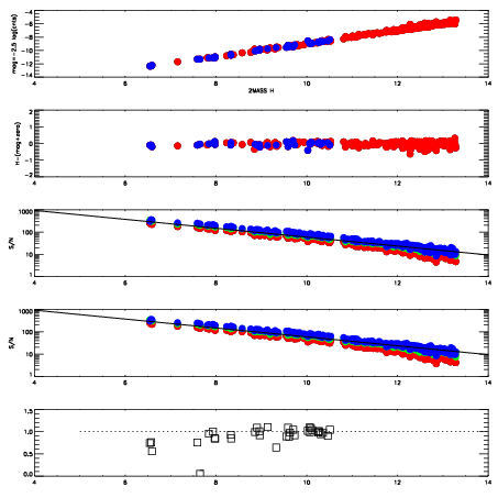
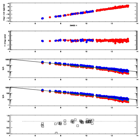
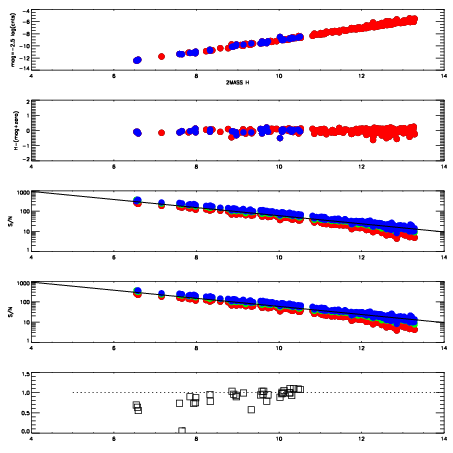
| Frame | Nreads | Zeropoints | Mag plots
| Spatial mag deviation
| Spatial sky 16325A emission deviations (filled: sky, open: star)
| Spatial sky continuum emission
| Spatial sky telluric CO2 absorption deviations (filled: H < 10)
|
| 6740058
| 47
| | Red | Green | Blue
| | z | | 18.66
| | znorm | | 14.48
| | sky | 14.9 | 14.4 | 14.3
| | S/N | 12.6 | 20.3 | 22.9
| | S/N(c) | 10.7 | 19.0 | 21.3
| | SN(E/C) | 0.95
|
|
|
|
|
|
|
| 6740059
| 47
| | Red | Green | Blue
| | z | | 19.00
| | znorm | | 14.82
| | sky | 14.7 | 14.6 | 14.5
| | S/N | 15.9 | 25.0 | 26.4
| | S/N(c) | 13.9 | 23.4 | 25.3
| | SN(E/C) | 0.94
|
|
|
|
|
|
|
| 6740060
| 47
| | Red | Green | Blue
| | z | | 19.05
| | znorm | | 14.87
| | sky | 14.8 | 14.6 | 14.6
| | S/N | 15.8 | 26.0 | 26.7
| | S/N(c) | 13.8 | 24.3 | 25.5
| | SN(E/C) | 0.94
|
|
|
|
|
|
|
| 6740061
| 47
| | Red | Green | Blue
| | z | | 18.99
| | znorm | | 14.81
| | sky | 15.0 | 14.5 | 14.6
| | S/N | 15.8 | 25.1 | 25.8
| | S/N(c) | 13.5 | 23.5 | 24.5
| | SN(E/C) | 0.97
|
|
|
|
|
|
|
| 6740062
| 47
| | Red | Green | Blue
| | z | | 18.96
| | znorm | | 14.78
| | sky | 15.1 | 14.7 | 14.6
| | S/N | 15.2 | 24.3 | 25.5
| | S/N(c) | 13.2 | 22.6 | 24.1
| | SN(E/C) | 0.96
|
|
|
|
|
|
|
| 6740063
| 47
| | Red | Green | Blue
| | z | | 18.95
| | znorm | | 14.77
| | sky | 14.7 | 14.8 | 14.6
| | S/N | 15.3 | 24.5 | 25.2
| | S/N(c) | 13.2 | 23.0 | 24.0
| | SN(E/C) | 0.93
|
|
|
|
|
|
|
| 6740064
| 47
| | Red | Green | Blue
| | z | | 18.93
| | znorm | | 14.75
| | sky | 15.2 | 14.7 | 14.7
| | S/N | 15.1 | 24.4 | 25.1
| | S/N(c) | 12.9 | 22.8 | 23.6
| | SN(E/C) | 0.93
|
|
|
|
|
|
|
| 6740065
| 47
| | Red | Green | Blue
| | z | | 18.77
| | znorm | | 14.59
| | sky | 15.0 | 14.9 | 14.8
| | S/N | 13.4 | 22.4 | 22.8
| | S/N(c) | 11.4 | 20.9 | 21.6
| | SN(E/C) | 0.99
|
|
|
|
|
|
|