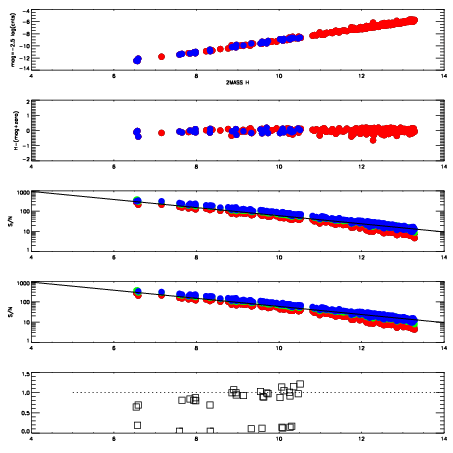
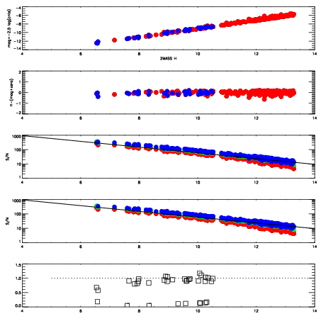
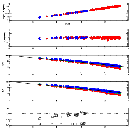
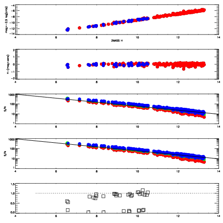
| Frame | Nreads | Zeropoints | Mag plots
| Spatial mag deviation
| Spatial sky 16325A emission deviations (filled: sky, open: star)
| Spatial sky continuum emission
| Spatial sky telluric CO2 absorption deviations (filled: H < 10)
|
| 6940087
| 47
| | Red | Green | Blue
| | z | | 19.05
| | znorm | | 14.87
| | sky | 14.8 | 14.3 | 14.2
| | S/N | 15.8 | 25.3 | 27.8
| | S/N(c) | 13.8 | 23.6 | 26.6
| | SN(E/C) | 0.92
|
|
|
|
|
|
|
| 6940088
| 47
| | Red | Green | Blue
| | z | | 19.06
| | znorm | | 14.88
| | sky | 14.7 | 14.3 | 14.3
| | S/N | 15.9 | 25.6 | 27.6
| | S/N(c) | 14.0 | 23.9 | 26.6
| | SN(E/C) | 0.90
|
|
|
|
|
|
|
| 6940089
| 47
| | Red | Green | Blue
| | z | | 19.10
| | znorm | | 14.92
| | sky | 14.8 | 14.5 | 14.2
| | S/N | 16.5 | 26.2 | 27.4
| | S/N(c) | 14.4 | 23.8 | 26.5
| | SN(E/C) | 0.89
|
|
|
|
|
|
|
| 6940090
| 47
| | Red | Green | Blue
| | z | | 19.10
| | znorm | | 14.92
| | sky | 14.8 | 14.4 | 14.2
| | S/N | 16.4 | 26.2 | 27.6
| | S/N(c) | 14.3 | 24.1 | 26.6
| | SN(E/C) | 0.87
|
|
|
|
|
|
|
| 6940091
| 47
| | Red | Green | Blue
| | z | | 19.09
| | znorm | | 14.91
| | sky | 14.7 | 14.4 | 14.2
| | S/N | 16.4 | 26.0 | 26.9
| | S/N(c) | 14.3 | 23.6 | 26.0
| | SN(E/C) | 0.88
|
|
|
|
|
|
|
| 6940092
| 47
| | Red | Green | Blue
| | z | | 19.12
| | znorm | | 14.94
| | sky | 14.5 | 14.5 | 14.2
| | S/N | 16.8 | 26.7 | 27.4
| | S/N(c) | 14.4 | 23.9 | 26.2
| | SN(E/C) | 0.90
|
|
|
|
|
|
|
| 6940093
| 47
| | Red | Green | Blue
| | z | | 19.13
| | znorm | | 14.95
| | sky | 14.5 | 14.4 | 14.2
| | S/N | 16.7 | 26.8 | 27.7
| | S/N(c) | 14.4 | 24.2 | 26.7
| | SN(E/C) | 0.84
|
|
|
|
|
|
|
| 6940094
| 47
| | Red | Green | Blue
| | z | | 19.11
| | znorm | | 14.93
| | sky | 14.7 | 14.5 | 14.2
| | S/N | 16.6 | 26.5 | 27.8
| | S/N(c) | 14.2 | 23.8 | 25.8
| | SN(E/C) | 0.87
|
|
|
|
|
|
|