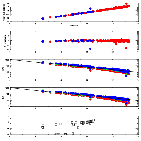
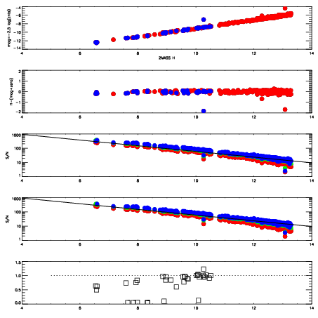
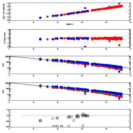
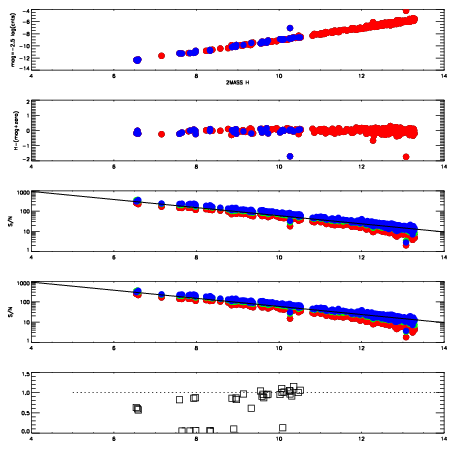
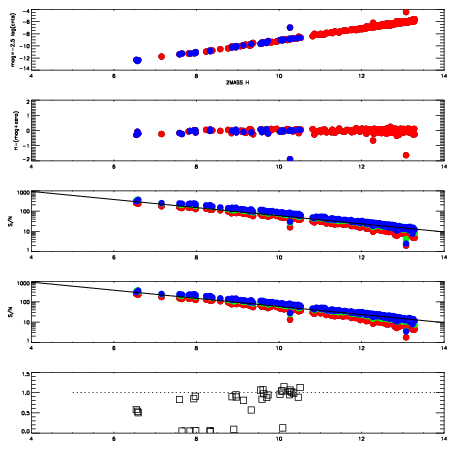
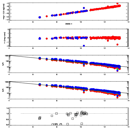
| Frame | Nreads | Zeropoints | Mag plots
| Spatial mag deviation
| Spatial sky 16325A emission deviations (filled: sky, open: star)
| Spatial sky continuum emission
| Spatial sky telluric CO2 absorption deviations (filled: H < 10)
|
| 7000083
| 47
| | Red | Green | Blue
| | z | | 19.03
| | znorm | | 14.85
| | sky | 14.9 | 14.0 | 13.9
| | S/N | 15.9 | 24.3 | 27.8
| | S/N(c) | 13.5 | 22.3 | 26.4
| | SN(E/C) | 0.87
|
|
|
|
|
|
|
| 7000084
| 47
| | Red | Green | Blue
| | z | | 19.04
| | znorm | | 14.86
| | sky | 14.2 | 14.0 | 13.9
| | S/N | 15.9 | 24.2 | 27.5
| | S/N(c) | 13.5 | 21.9 | 26.2
| | SN(E/C) | 0.91
|
|
|
|
|
|
|
| 7000085
| 47
| | Red | Green | Blue
| | z | | 19.12
| | znorm | | 14.94
| | sky | 14.3 | 14.1 | 14.0
| | S/N | 16.5 | 25.2 | 29.0
| | S/N(c) | 14.1 | 23.2 | 27.6
| | SN(E/C) | 0.88
|
|
|
|
|
|
|
| 7000086
| 47
| | Red | Green | Blue
| | z | | 19.03
| | znorm | | 14.85
| | sky | 14.0 | 13.8 | 13.7
| | S/N | 15.2 | 23.6 | 26.9
| | S/N(c) | 13.1 | 21.4 | 25.6
| | SN(E/C) | 0.91
|
|
|
|
|
|
|
| 7000087
| 47
| | Red | Green | Blue
| | z | | 18.95
| | znorm | | 14.77
| | sky | 13.7 | 13.6 | 13.5
| | S/N | 14.3 | 21.8 | 25.2
| | S/N(c) | 12.2 | 19.9 | 23.7
| | SN(E/C) | 0.91
|
|
|
|
|
|
|
| 7000088
| 47
| | Red | Green | Blue
| | z | | 19.06
| | znorm | | 14.88
| | sky | 13.9 | 13.8 | 13.6
| | S/N | 15.8 | 24.1 | 27.0
| | S/N(c) | 13.5 | 21.7 | 25.7
| | SN(E/C) | 0.92
|
|
|
|
|
|
|
| 7000089
| 47
| | Red | Green | Blue
| | z | | 19.15
| | znorm | | 14.97
| | sky | 14.2 | 14.0 | 13.8
| | S/N | 16.7 | 25.5 | 28.3
| | S/N(c) | 14.4 | 23.1 | 27.1
| | SN(E/C) | 0.86
|
|
|
|
|
|
|
| 7000090
| 47
| | Red | Green | Blue
| | z | | 19.13
| | znorm | | 14.95
| | sky | 14.1 | 14.1 | 13.8
| | S/N | 16.4 | 25.1 | 27.8
| | S/N(c) | 13.9 | 22.7 | 26.6
| | SN(E/C) | 0.89
|
|
|
|
|
|
|
| 7000091
| 47
| | Red | Green | Blue
| | z | | 19.01
| | znorm | | 14.83
| | sky | 13.8 | 13.7 | 13.5
| | S/N | 15.2 | 23.3 | 25.9
| | S/N(c) | 12.8 | 20.9 | 24.7
| | SN(E/C) | 0.94
|
|
|
|
|
|
|
| 7000092
| 47
| | Red | Green | Blue
| | z | | 19.07
| | znorm | | 14.89
| | sky | 14.0 | 13.7 | 13.6
| | S/N | 15.9 | 24.0 | 26.5
| | S/N(c) | 13.3 | 21.6 | 25.3
| | SN(E/C) | 0.88
|
|
|
|
|
|
|
| 7000093
| 47
| | Red | Green | Blue
| | z | | 19.12
| | znorm | | 14.94
| | sky | 13.8 | 13.7 | 13.6
| | S/N | 16.3 | 24.5 | 27.5
| | S/N(c) | 13.7 | 22.3 | 25.8
| | SN(E/C) | 0.90
|
|
|
|
|
|
|
| 7000094
| 47
| | Red | Green | Blue
| | z | | 19.15
| | znorm | | 14.97
| | sky | 14.2 | 14.1 | 13.8
| | S/N | 17.1 | 25.8 | 27.7
| | S/N(c) | 14.3 | 23.0 | 26.4
| | SN(E/C) | 0.87
|
|
|
|
|
|
|