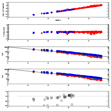
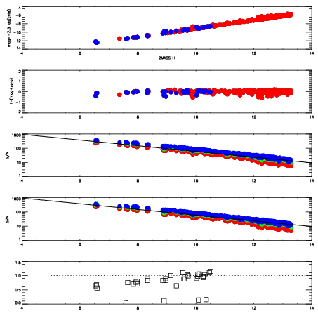
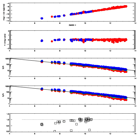
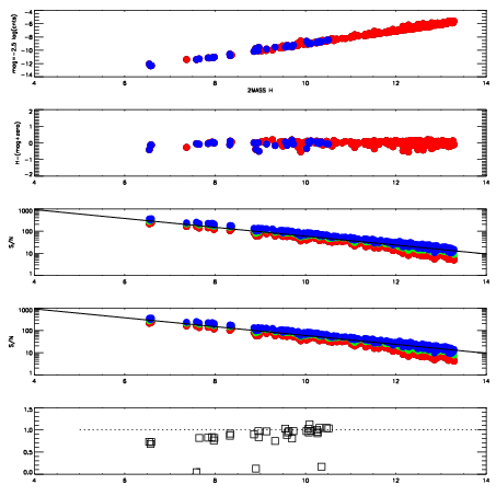
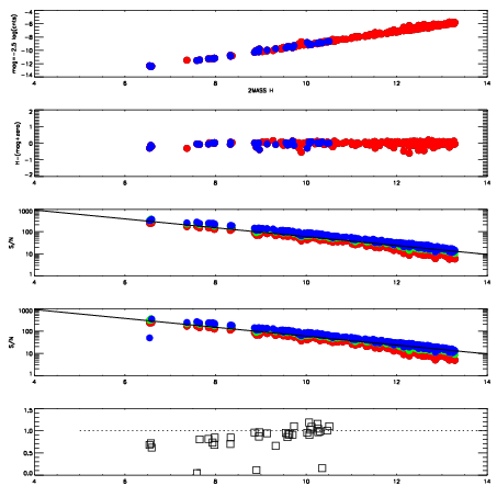
| Frame | Nreads | Zeropoints | Mag plots
| Spatial mag deviation
| Spatial sky 16325A emission deviations (filled: sky, open: star)
| Spatial sky continuum emission
| Spatial sky telluric CO2 absorption deviations (filled: H < 10)
|
| 6950082
| 47
| | Red | Green | Blue
| | z | | 18.98
| | znorm | | 14.80
| | sky | 15.1 | 14.4 | 14.4
| | S/N | 14.8 | 23.6 | 26.6
| | S/N(c) | 13.1 | 21.8 | 24.8
| | SN(E/C) | 0.98
|
|
|
|
|
|
|
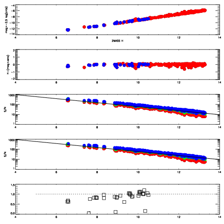
| 6950083
| 47
| | Red | Green | Blue
| | z | | 19.03
| | znorm | | 14.85
| | sky | 15.1 | 14.4 | 14.7
| | S/N | 15.1 | 24.4 | 27.4
| | S/N(c) | 13.2 | 22.6 | 25.6
| | SN(E/C) | 0.92
|
|
|
|
|
|
|
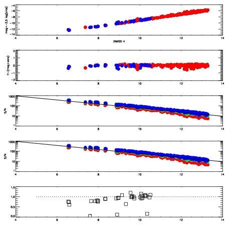
| 6950084
| 47
| | Red | Green | Blue
| | z | | 19.05
| | znorm | | 14.87
| | sky | 14.6 | 14.5 | 14.6
| | S/N | 15.3 | 24.8 | 27.6
| | S/N(c) | 13.3 | 22.8 | 26.1
| | SN(E/C) | 0.93
|
|
|
|
|
|
|
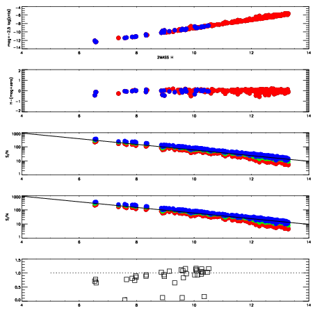
| 6950085
| 47
| | Red | Green | Blue
| | z | | 19.10
| | znorm | | 14.92
| | sky | 15.0 | 14.5 | 14.8
| | S/N | 15.8 | 25.1 | 28.3
| | S/N(c) | 14.1 | 23.3 | 26.4
| | SN(E/C) | 0.93
|
|
|
|
|
|
|
| 6950086
| 47
| | Red | Green | Blue
| | z | | 19.14
| | znorm | | 14.96
| | sky | 14.7 | 14.6 | 14.8
| | S/N | 16.1 | 26.2 | 28.9
| | S/N(c) | 14.4 | 24.3 | 27.0
| | SN(E/C) | 0.88
|
|
|
|
|
|
|
| 6950087
| 47
| | Red | Green | Blue
| | z | | 19.13
| | znorm | | 14.95
| | sky | 14.8 | 14.6 | 14.8
| | S/N | 16.0 | 25.7 | 28.5
| | S/N(c) | 14.3 | 23.9 | 26.8
| | SN(E/C) | 0.90
|
|
|
|
|
|
|
| 6950088
| 47
| | Red | Green | Blue
| | z | | 19.15
| | znorm | | 14.97
| | sky | 15.0 | 14.8 | 14.8
| | S/N | 16.6 | 25.4 | 28.8
| | S/N(c) | 14.8 | 23.6 | 27.0
| | SN(E/C) | 0.91
|
|
|
|
|
|
|
| 6950089
| 47
| | Red | Green | Blue
| | z | | 19.16
| | znorm | | 14.98
| | sky | 14.9 | 14.6 | 14.9
| | S/N | 16.5 | 25.2 | 29.0
| | S/N(c) | 14.8 | 23.5 | 27.1
| | SN(E/C) | 0.88
|
|
|
|
|
|
|
| 6950090
| 47
| | Red | Green | Blue
| | z | | 19.15
| | znorm | | 14.97
| | sky | 15.0 | 14.7 | 14.8
| | S/N | 16.6 | 25.1 | 28.9
| | S/N(c) | 14.8 | 23.7 | 27.1
| | SN(E/C) | 0.90
|
|
|
|
|
|
|
| 6950091
| 47
| | Red | Green | Blue
| | z | | 19.17
| | znorm | | 14.99
| | sky | 15.1 | 14.6 | 14.7
| | S/N | 16.7 | 26.0 | 29.1
| | S/N(c) | 14.9 | 24.4 | 27.1
| | SN(E/C) | 0.87
|
|
|
|
|
|
|
| 6950092
| 47
| | Red | Green | Blue
| | z | | 19.18
| | znorm | | 15.00
| | sky | 15.0 | 14.9 | 14.8
| | S/N | 17.0 | 26.1 | 29.2
| | S/N(c) | 15.0 | 24.4 | 27.4
| | SN(E/C) | 0.90
|
|
|
|
|
|
|
| 6950093
| 47
| | Red | Green | Blue
| | z | | 19.18
| | znorm | | 15.00
| | sky | 15.0 | 14.7 | 14.8
| | S/N | 17.1 | 26.2 | 29.3
| | S/N(c) | 15.0 | 24.5 | 27.3
| | SN(E/C) | 0.89
|
|
|
|
|
|
|