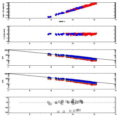
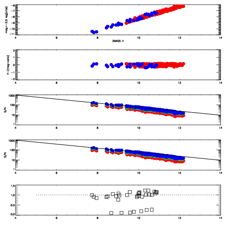
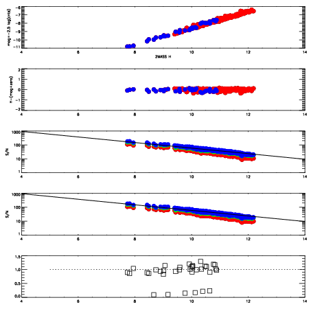
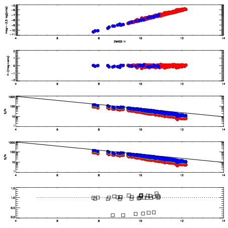
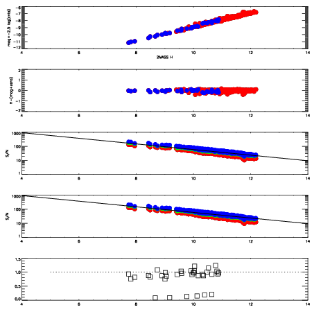
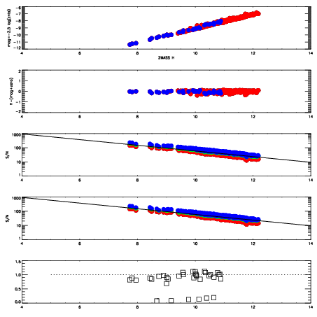
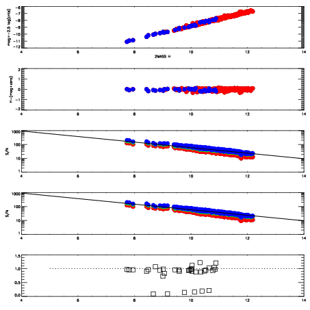
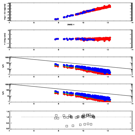
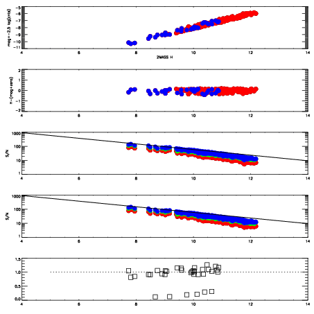
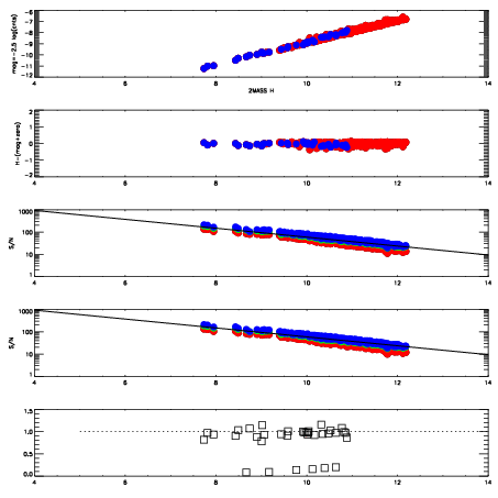
| Frame | Nreads | Zeropoints | Mag plots
| Spatial mag deviation
| Spatial sky 16325A emission deviations (filled: sky, open: star)
| Spatial sky continuum emission
| Spatial sky telluric CO2 absorption deviations (filled: H < 10)
|
| 6320011
| 47
| | Red | Green | Blue
| | z | | 18.35
| | znorm | | 14.17
| | sky | 12.2 | 12.2 | 12.4
| | S/N | 7.4 | 12.1 | 13.9
| | S/N(c) | 7.5 | 12.0 | 13.4
| | SN(E/C) | 0.97
|
|
|
|
|
|
|
| 6320012
| 47
| | Red | Green | Blue
| | z | | 18.02
| | znorm | | 13.84
| | sky | 13.0 | 12.9 | 13.0
| | S/N | 7.1 | 12.0 | 12.6
| | S/N(c) | 6.3 | 10.6 | 11.6
| | SN(E/C) | 1.00
|
|
|
|
|
|
|
| 6320013
| 47
| | Red | Green | Blue
| | z | | 18.91
| | znorm | | 14.73
| | sky | 14.2 | 14.1 | 14.2
| | S/N | 14.9 | 23.6 | 24.9
| | S/N(c) | 13.4 | 22.1 | 23.3
| | SN(E/C) | 0.94
|
|
|
|
|
|
|
| 6320014
| 47
| | Red | Green | Blue
| | z | | 18.81
| | znorm | | 14.63
| | sky | 13.8 | 13.7 | 13.8
| | S/N | 13.7 | 22.2 | 23.4
| | S/N(c) | 12.1 | 20.0 | 21.7
| | SN(E/C) | 0.94
|
|
|
|
|
|
|
| 6320015
| 47
| | Red | Green | Blue
| | z | | 19.04
| | znorm | | 14.86
| | sky | 14.4 | 14.4 | 14.5
| | S/N | 16.5 | 26.4 | 28.1
| | S/N(c) | 14.7 | 24.4 | 26.1
| | SN(E/C) | 0.97
|
|
|
|
|
|
|
| 6320016
| 47
| | Red | Green | Blue
| | z | | 19.11
| | znorm | | 14.93
| | sky | 14.2 | 14.2 | 14.4
| | S/N | 17.3 | 27.1 | 29.0
| | S/N(c) | 15.3 | 25.2 | 27.0
| | SN(E/C) | 0.91
|
|
|
|
|
|
|
| 6320017
| 47
| | Red | Green | Blue
| | z | | 18.91
| | znorm | | 14.73
| | sky | 13.8 | 13.8 | 13.8
| | S/N | 14.4 | 23.7 | 25.3
| | S/N(c) | 12.8 | 21.7 | 23.3
| | SN(E/C) | 0.91
|
|
|
|
|
|
|
| 6320018
| 47
| | Red | Green | Blue
| | z | | 18.63
| | znorm | | 14.45
| | sky | 13.5 | 13.5 | 13.6
| | S/N | 11.8 | 19.5 | 20.7
| | S/N(c) | 10.5 | 17.7 | 19.1
| | SN(E/C) | 0.99
|
|
|
|
|
|
|
| 6320019
| 47
| | Red | Green | Blue
| | z | | 18.04
| | znorm | | 13.86
| | sky | 13.3 | 13.3 | 13.3
| | S/N | 7.2 | 13.2 | 13.4
| | S/N(c) | 6.4 | 12.0 | 12.7
| | SN(E/C) | 1.02
|
|
|
|
|
|
|
| 6320020
| 47
| | Red | Green | Blue
| | z | | 18.41
| | znorm | | 14.23
| | sky | 13.3 | 13.4 | 13.5
| | S/N | 10.0 | 17.0 | 18.0
| | S/N(c) | 8.9 | 15.4 | 16.4
| | SN(E/C) | 0.98
|
|
|
|
|
|
|
| 6320021
| 47
| | Red | Green | Blue
| | z | | 18.32
| | znorm | | 14.14
| | sky | 13.2 | 13.2 | 13.2
| | S/N | 9.2 | 15.6 | 16.0
| | S/N(c) | 8.2 | 14.3 | 15.4
| | SN(E/C) | 0.98
|
|
|
|
|
|
|
| 6320022
| 47
| | Red | Green | Blue
| | z | | 16.28
| | znorm | | 12.10
| | sky | 12.8 | 12.8 | 12.9
| | S/N | 1.4 | 2.8 | 3.1
| | S/N(c) | 1.2 | 2.5 | 2.9
| | SN(E/C) | 1.02
|
|
|
|
|
|
|