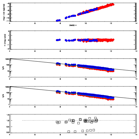
Frame | Nreads | Zeropoints | Mag plots
| Spatial mag deviation
| Spatial sky 16325A emission deviations (filled: sky, open: star)
| Spatial sky continuum emission
| Spatial sky telluric CO2 absorption deviations (filled: H < 10)
|
6330009
| 47
| | Red | Green | Blue
| z | | 18.53
| znorm | | 14.35
| sky | 12.9 | 12.9 | 12.8
| S/N | 10.5 | 17.3 | 17.5
| S/N(c) | 9.5 | 15.3 | 16.4
| SN(E/C) | 0.93
|
|
|
|
|
|
|
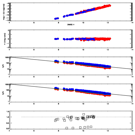
6330010
| 47
| | Red | Green | Blue
| z | | 19.05
| znorm | | 14.87
| sky | 13.7 | 13.6 | 13.6
| S/N | 16.0 | 25.3 | 27.0
| S/N(c) | 14.2 | 23.1 | 25.3
| SN(E/C) | 0.90
|
|
|
|
|
|
|
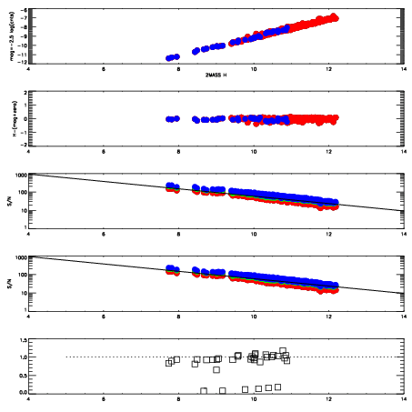
6330011
| 47
| | Red | Green | Blue
| z | | 18.94
| znorm | | 14.76
| sky | 13.4 | 13.4 | 13.4
| S/N | 14.5 | 23.4 | 24.8
| S/N(c) | 12.9 | 21.4 | 23.0
| SN(E/C) | 0.90
|
|
|
|
|
|
|
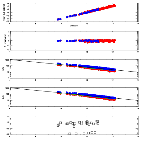
6330012
| 47
| | Red | Green | Blue
| z | | 19.03
| znorm | | 14.85
| sky | 13.7 | 13.6 | 13.7
| S/N | 15.7 | 25.1 | 26.7
| S/N(c) | 13.9 | 22.9 | 24.9
| SN(E/C) | 0.93
|
|
|
|
|
|
|
6330013
| 47
| | Red | Green | Blue
| z | | 19.04
| znorm | | 14.86
| sky | 13.6 | 13.6 | 13.7
| S/N | 15.8 | 25.2 | 26.9
| S/N(c) | 14.1 | 23.3 | 25.2
| SN(E/C) | 0.89
|
|
|
|
|
|
|
6330014
| 47
| | Red | Green | Blue
| z | | 19.17
| znorm | | 14.99
| sky | 14.2 | 14.1 | 14.1
| S/N | 17.4 | 27.7 | 29.6
| S/N(c) | 15.5 | 25.5 | 27.7
| SN(E/C) | 0.93
|
|
|
|
|
|
|
6330015
| 47
| | Red | Green | Blue
| z | | 19.23
| znorm | | 15.05
| sky | 14.2 | 14.2 | 14.3
| S/N | 18.2 | 28.7 | 30.5
| S/N(c) | 16.1 | 26.6 | 28.6
| SN(E/C) | 0.89
|
|
|
|
|
|
|
6330016
| 47
| | Red | Green | Blue
| z | | 19.18
| znorm | | 15.00
| sky | 14.1 | 14.0 | 14.1
| S/N | 17.6 | 27.7 | 29.7
| S/N(c) | 15.8 | 25.8 | 27.9
| SN(E/C) | 0.92
|
|
|
|
|
|
|