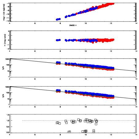
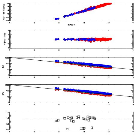
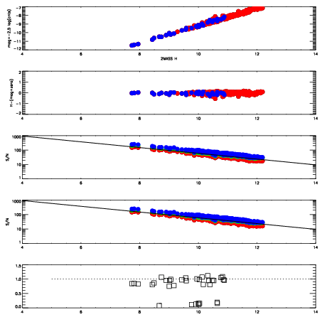
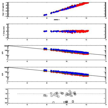
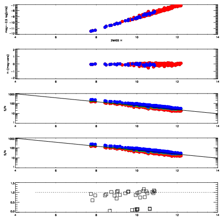
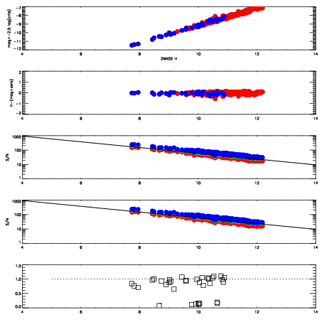
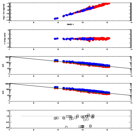
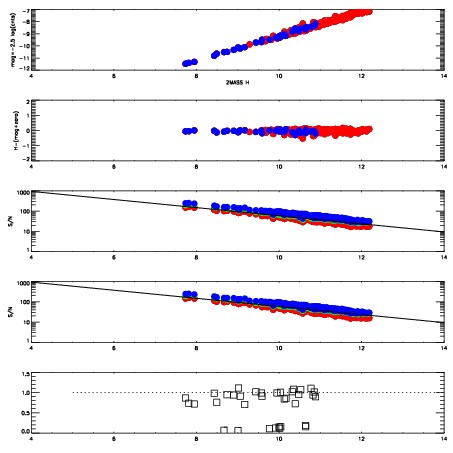
| Frame | Nreads | Zeropoints | Mag plots
| Spatial mag deviation
| Spatial sky 16325A emission deviations (filled: sky, open: star)
| Spatial sky continuum emission
| Spatial sky telluric CO2 absorption deviations (filled: H < 10)
|
| 6410010
| 47
| | Red | Green | Blue
| | z | | 19.22
| | znorm | | 15.04
| | sky | 14.4 | 14.3 | 14.3
| | S/N | 19.1 | 29.4 | 30.7
| | S/N(c) | 17.2 | 27.5 | 28.7
| | SN(E/C) | 0.86
|
|
|
|
|
|
|
| 6410011
| 47
| | Red | Green | Blue
| | z | | 19.23
| | znorm | | 15.05
| | sky | 14.5 | 14.5 | 14.8
| | S/N | 18.6 | 29.1 | 31.1
| | S/N(c) | 16.9 | 27.2 | 29.3
| | SN(E/C) | 0.89
|
|
|
|
|
|
|
| 6410012
| 47
| | Red | Green | Blue
| | z | | 19.25
| | znorm | | 15.07
| | sky | 14.6 | 14.6 | 14.9
| | S/N | 18.8 | 29.3 | 31.3
| | S/N(c) | 16.9 | 27.4 | 29.5
| | SN(E/C) | 0.94
|
|
|
|
|
|
|
| 6410013
| 47
| | Red | Green | Blue
| | z | | 19.25
| | znorm | | 15.07
| | sky | 14.5 | 14.5 | 14.8
| | S/N | 18.8 | 29.6 | 31.4
| | S/N(c) | 16.8 | 27.6 | 29.5
| | SN(E/C) | 0.88
|
|
|
|
|
|
|
| 6410014
| 47
| | Red | Green | Blue
| | z | | 19.26
| | znorm | | 15.08
| | sky | 14.6 | 14.6 | 14.9
| | S/N | 19.0 | 29.6 | 31.6
| | S/N(c) | 17.1 | 27.7 | 29.7
| | SN(E/C) | 0.93
|
|
|
|
|
|
|
| 6410015
| 47
| | Red | Green | Blue
| | z | | 19.24
| | znorm | | 15.06
| | sky | 14.5 | 14.5 | 14.9
| | S/N | 18.4 | 29.2 | 31.5
| | S/N(c) | 16.8 | 27.1 | 29.4
| | SN(E/C) | 0.86
|
|
|
|
|
|
|
| 6410016
| 47
| | Red | Green | Blue
| | z | | 19.26
| | znorm | | 15.08
| | sky | 14.7 | 14.6 | 14.9
| | S/N | 18.9 | 29.4 | 31.6
| | S/N(c) | 16.8 | 27.3 | 29.6
| | SN(E/C) | 0.90
|
|
|
|
|
|
|
| 6410017
| 47
| | Red | Green | Blue
| | z | | 19.25
| | znorm | | 15.07
| | sky | 14.7 | 14.6 | 14.9
| | S/N | 18.7 | 29.3 | 31.6
| | S/N(c) | 16.6 | 27.1 | 29.6
| | SN(E/C) | 0.90
|
|
|
|
|
|
|