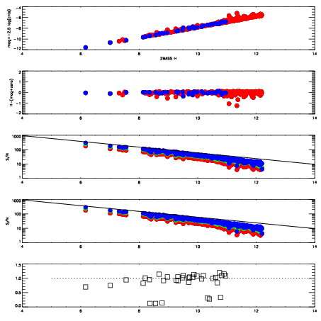
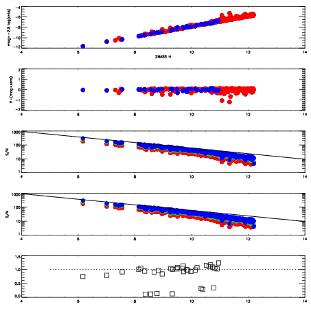
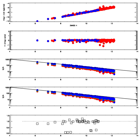
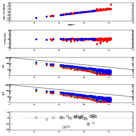
| Frame | Nreads | Zeropoints | Mag plots
| Spatial mag deviation
| Spatial sky 16325A emission deviations (filled: sky, open: star)
| Spatial sky continuum emission
| Spatial sky telluric CO2 absorption deviations (filled: H < 10)
|
| 6620010
| 47
| | Red | Green | Blue
| | z | | 18.01
| | znorm | | 13.83
| | sky | 13.5 | 13.4 | 13.6
| | S/N | 7.2 | 12.9 | 13.2
| | S/N(c) | 6.2 | 11.3 | 12.0
| | SN(E/C) | 0.96
|
|
|
|
|
|
|
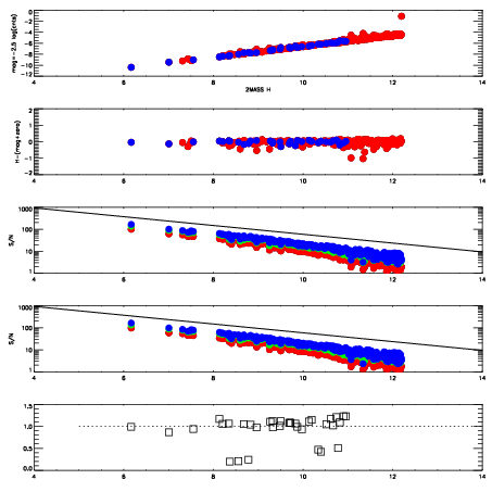
| 6620011
| 47
| | Red | Green | Blue
| | z | | 17.91
| | znorm | | 13.73
| | sky | 13.6 | 13.5 | 13.7
| | S/N | 6.4 | 11.8 | 12.3
| | S/N(c) | 5.3 | 10.3 | 10.9
| | SN(E/C) | 0.98
|
|
|
|
|
|
|
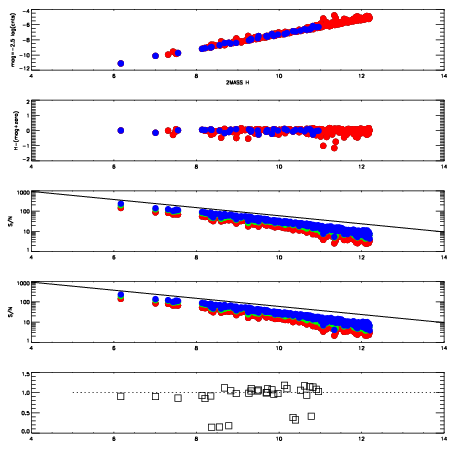
| 6620012
| 47
| | Red | Green | Blue
| | z | | 17.78
| | znorm | | 13.60
| | sky | 13.5 | 13.5 | 13.7
| | S/N | 5.8 | 10.6 | 11.3
| | S/N(c) | 4.9 | 9.2 | 10.0
| | SN(E/C) | 0.99
|
|
|
|
|
|
|
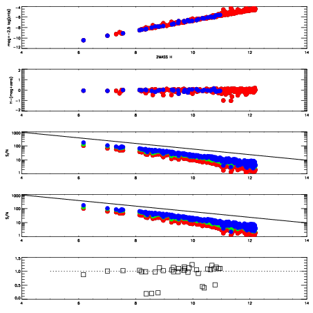
| 6620013
| 47
| | Red | Green | Blue
| | z | | 17.82
| | znorm | | 13.64
| | sky | 13.6 | 13.5 | 13.8
| | S/N | 5.9 | 10.7 | 11.8
| | S/N(c) | 5.0 | 9.6 | 10.4
| | SN(E/C) | 0.98
|
|
|
|
|
|
|
| 6620014
| 47
| | Red | Green | Blue
| | z | | 16.63
| | znorm | | 12.45
| | sky | 13.2 | 13.3 | 13.5
| | S/N | 1.9 | 4.0 | 4.3
| | S/N(c) | 1.7 | 3.5 | 4.0
| | SN(E/C) | 1.03
|
|
|
|
|
|
|
| 6620015
| 47
| | Red | Green | Blue
| | z | | 17.27
| | znorm | | 13.09
| | sky | 13.3 | 13.4 | 13.6
| | S/N | 3.5 | 6.8 | 7.7
| | S/N(c) | 3.1 | 6.0 | 6.5
| | SN(E/C) | 0.99
|
|
|
|
|
|
|
| 6620016
| 47
| | Red | Green | Blue
| | z | | 16.20
| | znorm | | 12.02
| | sky | 13.2 | 13.4 | 13.7
| | S/N | 1.2 | 2.8 | 3.2
| | S/N(c) | 1.1 | 2.4 | 2.8
| | SN(E/C) | 1.03
|
|
|
|
|
|
|
| 6620017
| 47
| | Red | Green | Blue
| | z | | 16.58
| | znorm | | 12.40
| | sky | 13.3 | 13.3 | 13.6
| | S/N | 1.9 | 3.9 | 4.4
| | S/N(c) | 1.8 | 3.3 | 3.7
| | SN(E/C) | 1.05
|
|
|
|
|
|
|