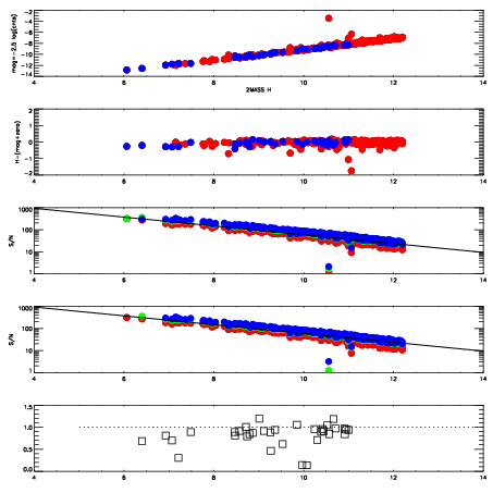
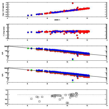
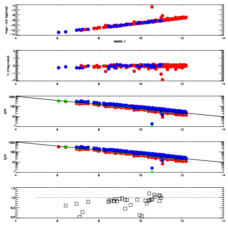
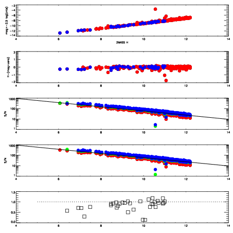
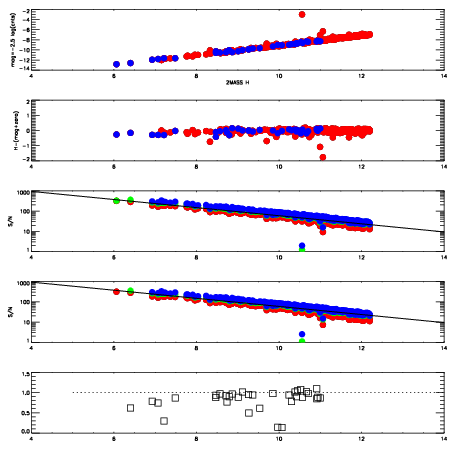
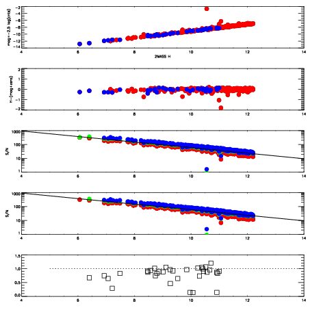
| Frame | Nreads | Zeropoints | Mag plots
| Spatial mag deviation
| Spatial sky 16325A emission deviations (filled: sky, open: star)
| Spatial sky continuum emission
| Spatial sky telluric CO2 absorption deviations (filled: H < 10)
|
| 6920026
| 47
| | Red | Green | Blue
| | z | | 19.14
| | znorm | | 14.96
| | sky | 14.6 | 13.9 | 13.6
| | S/N | 17.3 | 26.2 | 27.2
| | S/N(c) | 15.0 | 24.0 | 26.4
| | SN(E/C) | 0.91
|
|
|
|
|
|
|
| 6920027
| 47
| | Red | Green | Blue
| | z | | 19.19
| | znorm | | 15.01
| | sky | 14.4 | 14.0 | 13.7
| | S/N | 17.7 | 27.0 | 28.1
| | S/N(c) | 15.7 | 24.7 | 26.9
| | SN(E/C) | 0.86
|
|
|
|
|
|
|
| 6920028
| 47
| | Red | Green | Blue
| | z | | 19.15
| | znorm | | 14.97
| | sky | 14.5 | 14.0 | 13.8
| | S/N | 17.2 | 26.5 | 27.5
| | S/N(c) | 14.8 | 24.5 | 26.3
| | SN(E/C) | 0.89
|
|
|
|
|
|
|
| 6920029
| 47
| | Red | Green | Blue
| | z | | 19.14
| | znorm | | 14.96
| | sky | 14.5 | 14.2 | 13.9
| | S/N | 16.8 | 26.5 | 27.4
| | S/N(c) | 14.5 | 24.0 | 26.1
| | SN(E/C) | 0.90
|
|
|
|
|
|
|
| 6920030
| 47
| | Red | Green | Blue
| | z | | 19.16
| | znorm | | 14.98
| | sky | 14.5 | 14.2 | 13.9
| | S/N | 17.4 | 26.7 | 28.0
| | S/N(c) | 15.1 | 24.3 | 26.5
| | SN(E/C) | 0.87
|
|
|
|
|
|
|
| 6920031
| 47
| | Red | Green | Blue
| | z | | 19.14
| | znorm | | 14.96
| | sky | 14.5 | 14.2 | 14.0
| | S/N | 17.0 | 26.5 | 28.0
| | S/N(c) | 14.5 | 24.2 | 26.3
| | SN(E/C) | 0.90
|
|
|
|
|
|
|
| 6920032
| 47
| | Red | Green | Blue
| | z | | 19.17
| | znorm | | 14.99
| | sky | 14.6 | 14.3 | 13.9
| | S/N | 17.3 | 26.8 | 28.5
| | S/N(c) | 14.8 | 24.4 | 26.6
| | SN(E/C) | 0.86
|
|
|
|
|
|
|
| 6920033
| 47
| | Red | Green | Blue
| | z | | 19.13
| | znorm | | 14.95
| | sky | 14.4 | 14.2 | 14.0
| | S/N | 16.9 | 26.3 | 28.0
| | S/N(c) | 14.7 | 24.0 | 26.2
| | SN(E/C) | 0.88
|
|
|
|
|
|
|