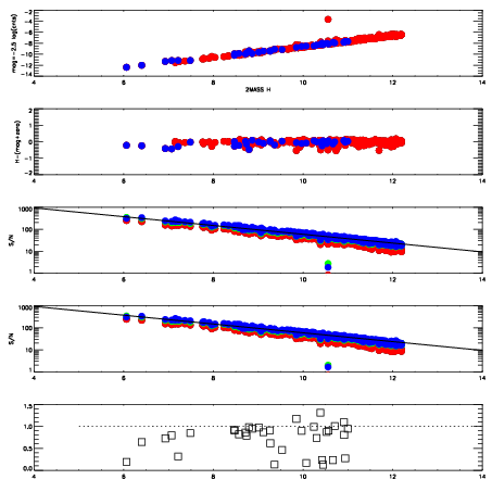
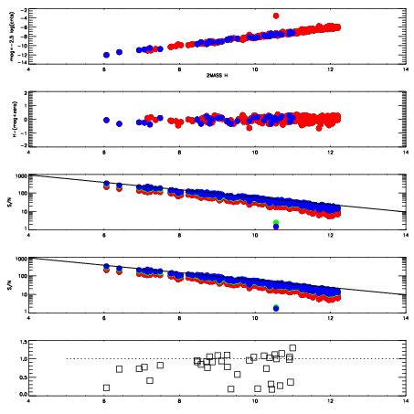
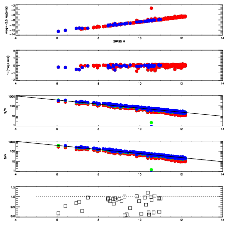
Left plots: red are targets, blue are telluric. Observed mags are calculated from median value of green chip. Zeropoint gives overall throughput: bigger number is more throughput.
First spatial plots: circles are objects, squares are tellurics, crosses are sky fibers. Colors give deviation of observed mag from expected 2MASS mag using the median zeropoint; red is brighter
Second spatial plots: circles are sky fibers. Colors give sky line brightness relative to plate median sky line brightness
FrameNreadsZeropointsMag plots Spatial mag deviation Spatial sky 16325A emission deviations (filled: sky, open: star) Spatial sky continuum emission Spatial sky telluric CO2 absorption deviations (filled: H < 10)
9250010 47
RedGreenBlue
z18.80
znorm14.62
sky 14.6 14.5 14.4
S/N 14.1 23.4 23.7
S/N(c) 12.3 21.8 22.3
SN(E/C) 0.79
9250011 47
RedGreenBlue
z18.65
znorm14.47
sky 14.3 14.6 14.8
S/N 12.1 20.9 21.3
S/N(c) 10.6 19.2 19.8
SN(E/C) 0.85
9250012 47
RedGreenBlue
z18.74
znorm14.56
sky 14.3 14.6 14.6
S/N 12.9 21.7 22.4
S/N(c) 11.4 20.0 21.0
SN(E/C) 0.88
9250013 47
RedGreenBlue
z18.13
znorm13.95
sky 14.3 14.5 14.5
S/N 8.4 15.2 15.1
S/N(c) 7.3 13.7 14.2
SN(E/C) 0.91