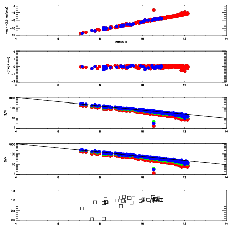
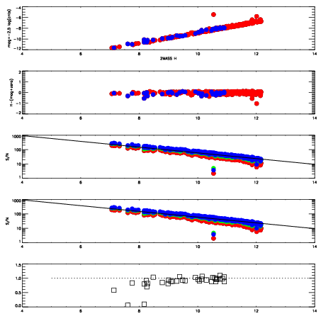
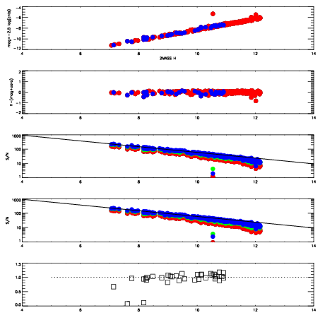
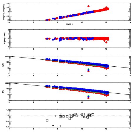
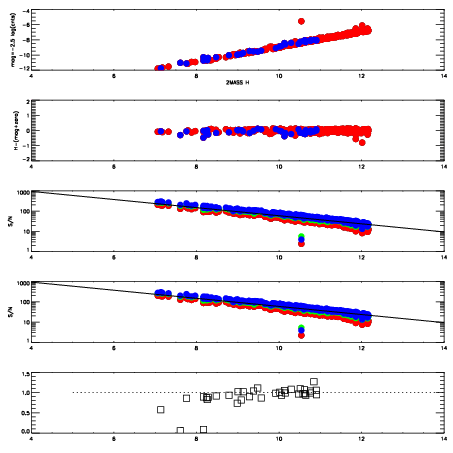
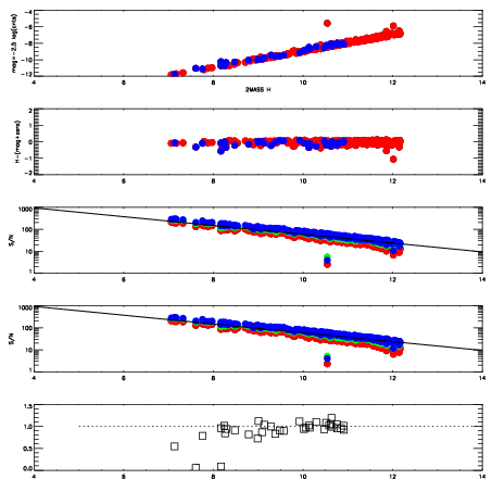
| Frame | Nreads | Zeropoints | Mag plots
| Spatial mag deviation
| Spatial sky 16325A emission deviations (filled: sky, open: star)
| Spatial sky continuum emission
| Spatial sky telluric CO2 absorption deviations (filled: H < 10)
|
| 7540026
| 47
| | Red | Green | Blue
| | z | | 18.47
| | znorm | | 14.29
| | sky | 13.1 | 13.0 | 12.9
| | S/N | 9.8 | 15.6 | 16.2
| | S/N(c) | 8.2 | 14.2 | 16.2
| | SN(E/C) | 0.99
|
|
|
|
|
|
|
| 7540027
| 47
| | Red | Green | Blue
| | z | | 18.32
| | znorm | | 14.14
| | sky | 12.9 | 12.8 | 12.8
| | S/N | 8.3 | 13.6 | 14.0
| | S/N(c) | 7.0 | 12.3 | 14.4
| | SN(E/C) | 1.00
|
|
|
|
|
|
|
| 7540028
| 47
| | Red | Green | Blue
| | z | | 18.58
| | znorm | | 14.40
| | sky | 13.2 | 13.1 | 13.1
| | S/N | 10.7 | 17.5 | 18.1
| | S/N(c) | 9.2 | 15.7 | 18.0
| | SN(E/C) | 0.96
|
|
|
|
|
|
|
| 7540029
| 47
| | Red | Green | Blue
| | z | | 18.93
| | znorm | | 14.75
| | sky | 13.8 | 13.8 | 13.8
| | S/N | 13.9 | 23.1 | 24.0
| | S/N(c) | 12.6 | 21.1 | 22.8
| | SN(E/C) | 0.96
|
|
|
|
|
|
|
| 7540030
| 47
| | Red | Green | Blue
| | z | | 18.98
| | znorm | | 14.80
| | sky | 14.1 | 13.9 | 13.9
| | S/N | 14.3 | 23.9 | 24.9
| | S/N(c) | 12.5 | 21.7 | 23.8
| | SN(E/C) | 0.95
|
|
|
|
|
|
|
| 7540031
| 47
| | Red | Green | Blue
| | z | | 18.97
| | znorm | | 14.79
| | sky | 13.8 | 13.7 | 13.6
| | S/N | 14.1 | 23.4 | 23.9
| | S/N(c) | 12.9 | 21.3 | 23.8
| | SN(E/C) | 0.95
|
|
|
|
|
|
|
| 7540032
| 47
| | Red | Green | Blue
| | z | | 18.84
| | znorm | | 14.66
| | sky | 13.4 | 13.4 | 13.3
| | S/N | 12.5 | 21.3 | 21.7
| | S/N(c) | 11.2 | 19.0 | 21.1
| | SN(E/C) | 0.91
|
|
|
|
|
|
|
| 7540033
| 47
| | Red | Green | Blue
| | z | | 18.87
| | znorm | | 14.69
| | sky | 13.6 | 13.5 | 13.4
| | S/N | 13.1 | 21.6 | 22.0
| | S/N(c) | 11.8 | 19.8 | 22.3
| | SN(E/C) | 0.95
|
|
|
|
|
|
|