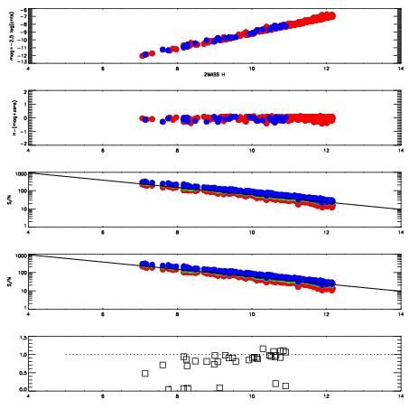
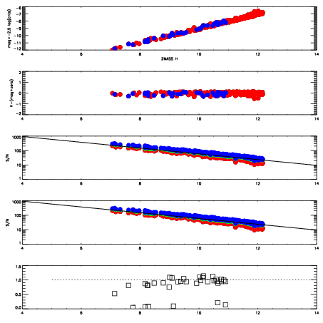
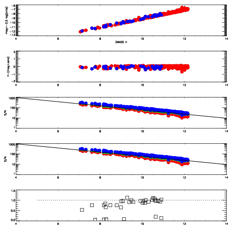
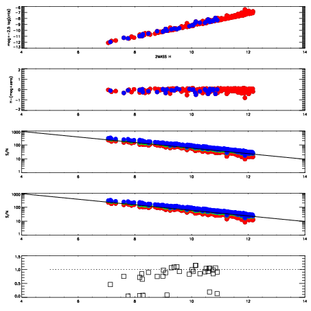
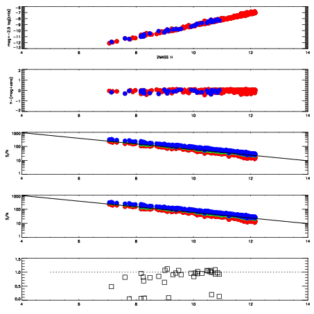
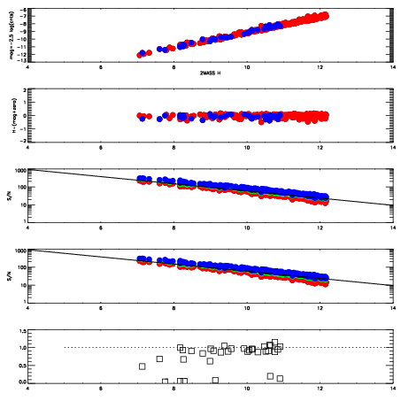
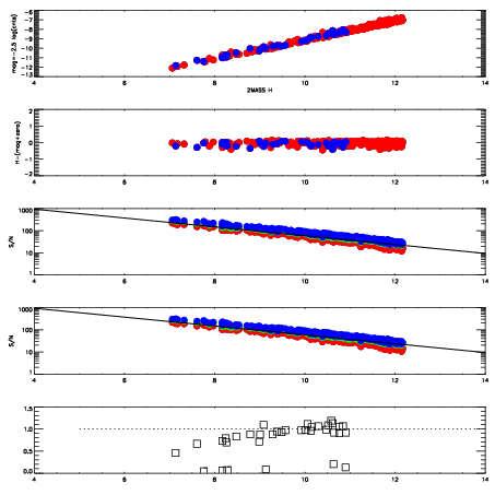
| Frame | Nreads | Zeropoints | Mag plots
| Spatial mag deviation
| Spatial sky 16325A emission deviations (filled: sky, open: star)
| Spatial sky continuum emission
| Spatial sky telluric CO2 absorption deviations (filled: H < 10)
|
| 9980086
| 47
| | Red | Green | Blue
| | z | | 19.17
| | znorm | | 14.99
| | sky | 15.2 | 14.5 | 14.6
| | S/N | 16.3 | 25.8 | 28.2
| | S/N(c) | 14.7 | 24.0 | 27.1
| | SN(E/C) | 0.90
|
|
|
|
|
|
|
| 9980087
| 47
| | Red | Green | Blue
| | z | | 19.16
| | znorm | | 14.98
| | sky | 15.0 | 14.6 | 14.8
| | S/N | 16.5 | 26.1 | 28.9
| | S/N(c) | 14.9 | 24.5 | 27.4
| | SN(E/C) | 0.91
|
|
|
|
|
|
|
| 9980088
| 47
| | Red | Green | Blue
| | z | | 19.19
| | znorm | | 15.01
| | sky | 14.7 | 14.7 | 14.7
| | S/N | 16.7 | 26.5 | 29.1
| | S/N(c) | 15.0 | 24.9 | 27.7
| | SN(E/C) | 0.93
|
|
|
|
|
|
|
| 9980089
| 47
| | Red | Green | Blue
| | z | | 19.19
| | znorm | | 15.01
| | sky | 15.2 | 14.8 | 14.7
| | S/N | 16.6 | 26.2 | 29.1
| | S/N(c) | 15.0 | 24.5 | 27.7
| | SN(E/C) | 0.87
|
|
|
|
|
|
|
| 9980090
| 47
| | Red | Green | Blue
| | z | | 19.14
| | znorm | | 14.96
| | sky | 14.9 | 14.8 | 14.8
| | S/N | 16.2 | 25.5 | 28.4
| | S/N(c) | 14.5 | 23.7 | 27.0
| | SN(E/C) | 0.90
|
|
|
|
|
|
|
| 9980091
| 47
| | Red | Green | Blue
| | z | | 19.05
| | znorm | | 14.87
| | sky | 14.7 | 15.0 | 14.8
| | S/N | 15.2 | 24.5 | 26.8
| | S/N(c) | 13.7 | 23.0 | 25.5
| | SN(E/C) | 0.94
|
|
|
|
|
|
|
| 9980092
| 47
| | Red | Green | Blue
| | z | | 19.17
| | znorm | | 14.99
| | sky | 14.8 | 14.9 | 14.8
| | S/N | 16.4 | 26.3 | 28.8
| | S/N(c) | 14.9 | 24.6 | 27.6
| | SN(E/C) | 0.92
|
|
|
|
|
|
|
| 9980093
| 47
| | Red | Green | Blue
| | z | | 19.18
| | znorm | | 15.00
| | sky | 14.8 | 14.8 | 14.7
| | S/N | 16.7 | 26.2 | 29.0
| | S/N(c) | 14.9 | 24.5 | 27.5
| | SN(E/C) | 0.90
|
|
|
|
|
|
|