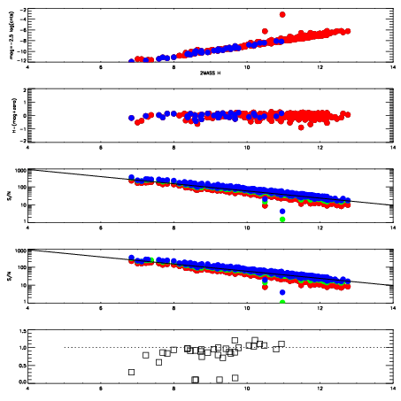
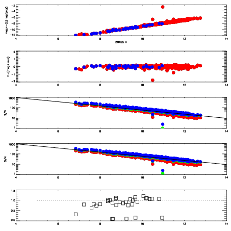
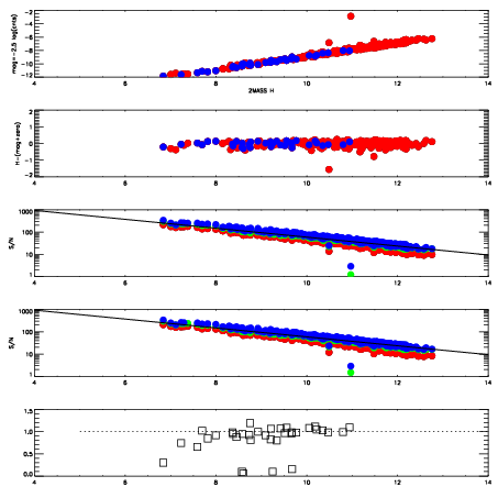
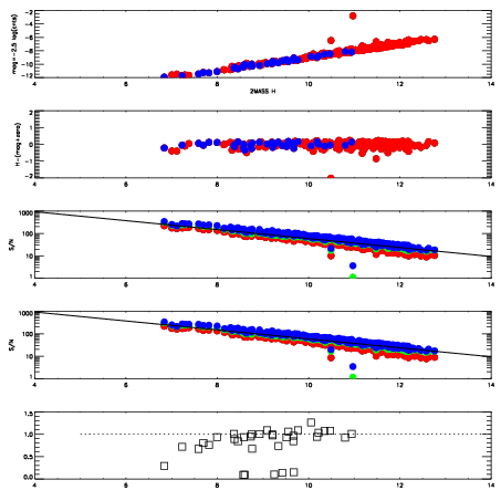
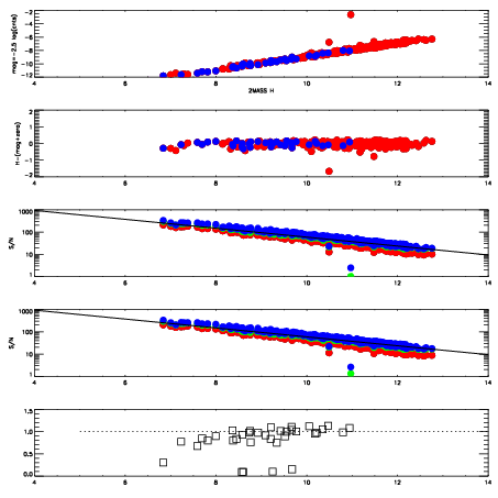
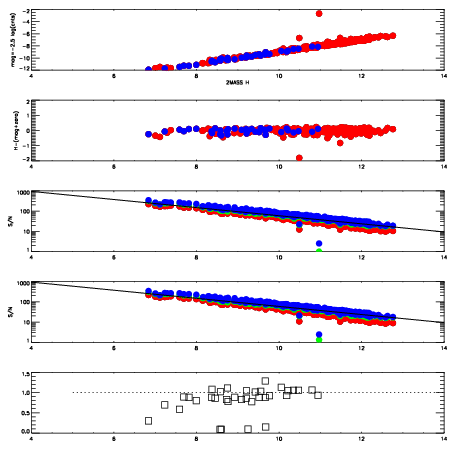
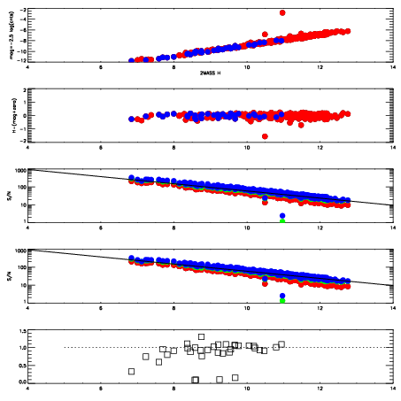
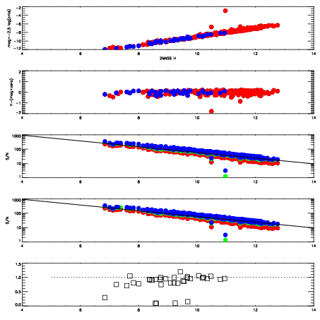
Frame | Nreads | Zeropoints | Mag plots
| Spatial mag deviation
| Spatial sky 16325A emission deviations (filled: sky, open: star)
| Spatial sky continuum emission
| Spatial sky telluric CO2 absorption deviations (filled: H < 10)
|
6950036
| 47
| | Red | Green | Blue
| z | | 18.94
| znorm | | 14.76
| sky | 14.7 | 14.2 | 14.1
| S/N | 14.9 | 24.6 | 25.9
| S/N(c) | 13.4 | 22.7 | 24.6
| SN(E/C) | 0.91
|
|
|
|
|
|
|
6950037
| 47
| | Red | Green | Blue
| z | | 19.05
| znorm | | 14.87
| sky | 14.5 | 14.3 | 14.3
| S/N | 15.9 | 25.7 | 27.1
| S/N(c) | 14.1 | 24.0 | 26.0
| SN(E/C) | 0.85
|
|
|
|
|
|
|
6950038
| 47
| | Red | Green | Blue
| z | | 18.98
| znorm | | 14.80
| sky | 14.6 | 14.4 | 14.4
| S/N | 15.1 | 25.2 | 26.5
| S/N(c) | 13.6 | 23.5 | 25.3
| SN(E/C) | 0.93
|
|
|
|
|
|
|
6950039
| 47
| | Red | Green | Blue
| z | | 18.99
| znorm | | 14.81
| sky | 14.8 | 14.4 | 14.5
| S/N | 15.3 | 25.2 | 26.6
| S/N(c) | 13.7 | 23.7 | 25.4
| SN(E/C) | 0.92
|
|
|
|
|
|
|
6950040
| 47
| | Red | Green | Blue
| z | | 18.89
| znorm | | 14.71
| sky | 14.6 | 14.5 | 14.5
| S/N | 14.5 | 24.1 | 25.2
| S/N(c) | 12.7 | 22.6 | 23.9
| SN(E/C) | 0.96
|
|
|
|
|
|
|
6950041
| 47
| | Red | Green | Blue
| z | | 18.94
| znorm | | 14.76
| sky | 14.7 | 14.6 | 14.5
| S/N | 14.8 | 24.5 | 25.8
| S/N(c) | 13.3 | 23.0 | 24.5
| SN(E/C) | 0.95
|
|
|
|
|
|
|
6950042
| 47
| | Red | Green | Blue
| z | | 19.00
| znorm | | 14.82
| sky | 14.5 | 14.5 | 14.5
| S/N | 15.5 | 25.6 | 26.4
| S/N(c) | 13.3 | 24.1 | 25.1
| SN(E/C) | 0.88
|
|
|
|
|
|
|
6950043
| 47
| | Red | Green | Blue
| z | | 18.88
| znorm | | 14.70
| sky | 14.8 | 14.6 | 14.6
| S/N | 14.5 | 24.1 | 24.6
| S/N(c) | 12.7 | 22.6 | 23.4
| SN(E/C) | 0.93
|
|
|
|
|
|
|
6950044
| 47
| | Red | Green | Blue
| z | | 18.94
| znorm | | 14.76
| sky | 14.9 | 14.7 | 14.6
| S/N | 14.9 | 25.0 | 25.8
| S/N(c) | 13.2 | 23.6 | 24.5
| SN(E/C) | 0.92
|
|
|
|
|
|
|
6950045
| 47
| | Red | Green | Blue
| z | | 18.93
| znorm | | 14.75
| sky | 14.6 | 14.5 | 14.6
| S/N | 14.8 | 24.8 | 25.4
| S/N(c) | 13.3 | 23.3 | 24.2
| SN(E/C) | 0.93
|
|
|
|
|
|
|