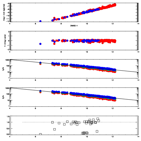
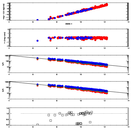
| Frame | Nreads | Zeropoints | Mag plots
| Spatial mag deviation
| Spatial sky 16325A emission deviations (filled: sky, open: star)
| Spatial sky continuum emission
| Spatial sky telluric CO2 absorption deviations (filled: H < 10)
|
| 7280026
| 47
| | Red | Green | Blue
| | z | | 18.97
| | znorm | | 14.79
| | sky | 15.1 | 14.6 | 14.6
| | S/N | 13.7 | 22.5 | 25.1
| | S/N(c) | 12.4 | 20.9 | 23.6
| | SN(E/C) | 0.94
|
|
|
|
|
|
|
| 7280027
| 47
| | Red | Green | Blue
| | z | | 19.00
| | znorm | | 14.82
| | sky | 14.9 | 14.6 | 14.8
| | S/N | 13.8 | 23.0 | 25.2
| | S/N(c) | 12.3 | 21.6 | 24.1
| | SN(E/C) | 0.94
|
|
|
|
|
|
|
| 7280028
| 47
| | Red | Green | Blue
| | z | | 19.01
| | znorm | | 14.83
| | sky | 15.1 | 14.6 | 14.9
| | S/N | 13.9 | 22.9 | 25.6
| | S/N(c) | 12.4 | 21.8 | 24.0
| | SN(E/C) | 0.92
|
|
|
|
|
|
|
| 7280029
| 47
| | Red | Green | Blue
| | z | | 18.99
| | znorm | | 14.81
| | sky | 14.8 | 14.7 | 15.0
| | S/N | 13.8 | 22.9 | 25.4
| | S/N(c) | 12.5 | 21.7 | 23.8
| | SN(E/C) | 0.91
|
|
|
|
|
|
|
| 7280030
| 47
| | Red | Green | Blue
| | z | | 18.89
| | znorm | | 14.71
| | sky | 15.1 | 14.8 | 15.0
| | S/N | 12.7 | 21.5 | 24.3
| | S/N(c) | 11.5 | 20.5 | 22.7
| | SN(E/C) | 0.96
|
|
|
|
|
|
|
| 7280031
| 47
| | Red | Green | Blue
| | z | | 18.96
| | znorm | | 14.78
| | sky | 15.0 | 14.8 | 15.0
| | S/N | 13.3 | 22.4 | 25.1
| | S/N(c) | 12.2 | 21.2 | 23.7
| | SN(E/C) | 0.92
|
|
|
|
|
|
|
| 7280032
| 47
| | Red | Green | Blue
| | z | | 18.93
| | znorm | | 14.75
| | sky | 15.0 | 14.8 | 14.9
| | S/N | 13.3 | 21.9 | 24.8
| | S/N(c) | 12.0 | 20.8 | 23.3
| | SN(E/C) | 0.96
|
|
|
|
|
|
|
| 7280033
| 47
| | Red | Green | Blue
| | z | | 18.96
| | znorm | | 14.78
| | sky | 15.0 | 15.0 | 15.0
| | S/N | 13.7 | 22.4 | 25.0
| | S/N(c) | 12.4 | 21.2 | 23.7
| | SN(E/C) | 0.91
|
|
|
|
|
|
|