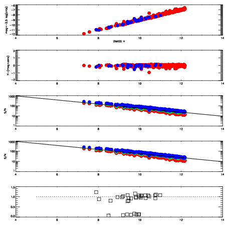
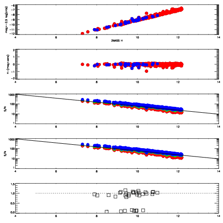
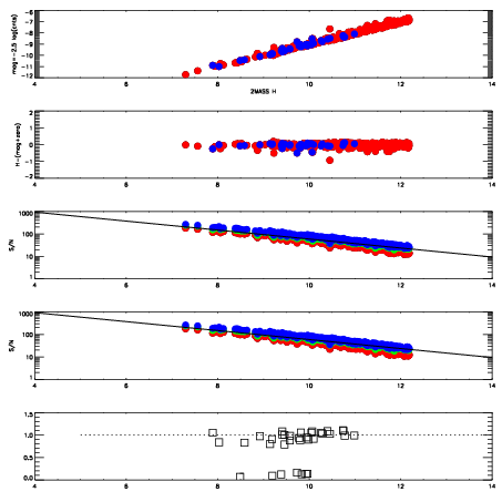
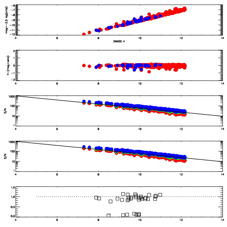
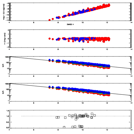
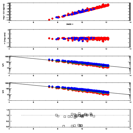
| Frame | Nreads | Zeropoints | Mag plots
| Spatial mag deviation
| Spatial sky 16325A emission deviations (filled: sky, open: star)
| Spatial sky continuum emission
| Spatial sky telluric CO2 absorption deviations (filled: H < 10)
|
| 6950049
| 47
| | Red | Green | Blue
| | z | | 19.00
| | znorm | | 14.82
| | sky | 15.1 | 14.3 | 14.7
| | S/N | 15.1 | 24.1 | 26.1
| | S/N(c) | 13.2 | 22.9 | 24.3
| | SN(E/C) | 0.95
|
|
|
|
|
|
|
| 6950050
| 47
| | Red | Green | Blue
| | z | | 19.07
| | znorm | | 14.89
| | sky | 14.7 | 14.4 | 14.9
| | S/N | 15.7 | 25.1 | 27.6
| | S/N(c) | 13.8 | 23.8 | 25.5
| | SN(E/C) | 0.95
|
|
|
|
|
|
|
| 6950051
| 47
| | Red | Green | Blue
| | z | | 19.14
| | znorm | | 14.96
| | sky | 14.9 | 14.4 | 15.0
| | S/N | 16.3 | 26.5 | 28.7
| | S/N(c) | 14.4 | 25.0 | 26.7
| | SN(E/C) | 0.91
|
|
|
|
|
|
|
| 6950052
| 47
| | Red | Green | Blue
| | z | | 19.11
| | znorm | | 14.93
| | sky | 14.6 | 14.4 | 14.8
| | S/N | 16.1 | 26.0 | 28.0
| | S/N(c) | 14.2 | 24.6 | 25.9
| | SN(E/C) | 0.94
|
|
|
|
|
|
|
| 6950053
| 47
| | Red | Green | Blue
| | z | | 19.05
| | znorm | | 14.87
| | sky | 14.7 | 14.5 | 14.9
| | S/N | 15.4 | 25.2 | 27.1
| | S/N(c) | 13.5 | 23.6 | 25.1
| | SN(E/C) | 0.94
|
|
|
|
|
|
|
| 6950054
| 47
| | Red | Green | Blue
| | z | | 19.02
| | znorm | | 14.84
| | sky | 14.8 | 14.5 | 15.0
| | S/N | 15.1 | 24.7 | 26.6
| | S/N(c) | 13.1 | 23.3 | 24.5
| | SN(E/C) | 0.95
|
|
|
|
|
|
|
| 6950055
| 47
| | Red | Green | Blue
| | z | | 19.10
| | znorm | | 14.92
| | sky | 14.5 | 14.5 | 14.9
| | S/N | 15.9 | 25.8 | 27.7
| | S/N(c) | 13.5 | 24.2 | 25.6
| | SN(E/C) | 0.95
|
|
|
|
|
|
|
| 6950056
| 47
| | Red | Green | Blue
| | z | | 19.03
| | znorm | | 14.85
| | sky | 15.0 | 14.6 | 14.9
| | S/N | 15.1 | 24.9 | 26.6
| | S/N(c) | 13.3 | 23.3 | 24.6
| | SN(E/C) | 0.94
|
|
|
|
|
|
|