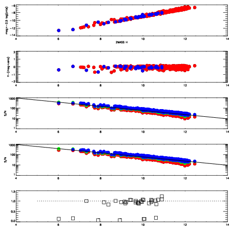
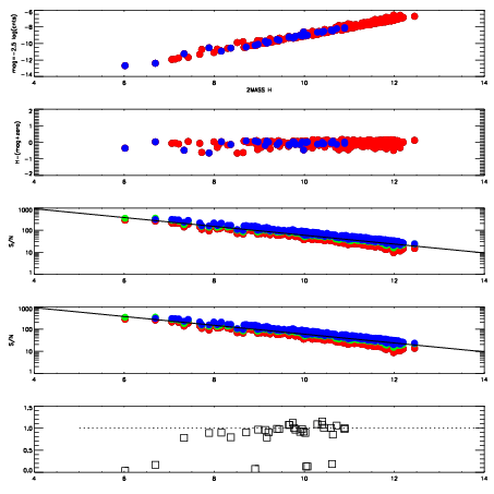
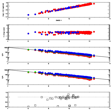
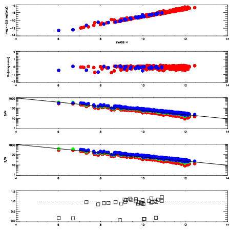
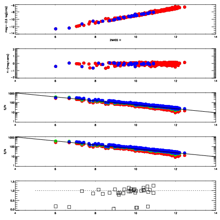
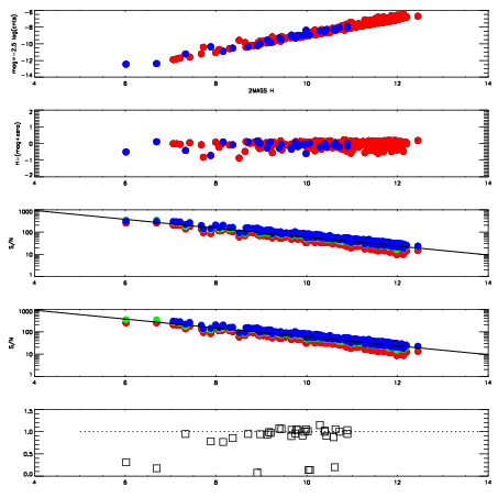
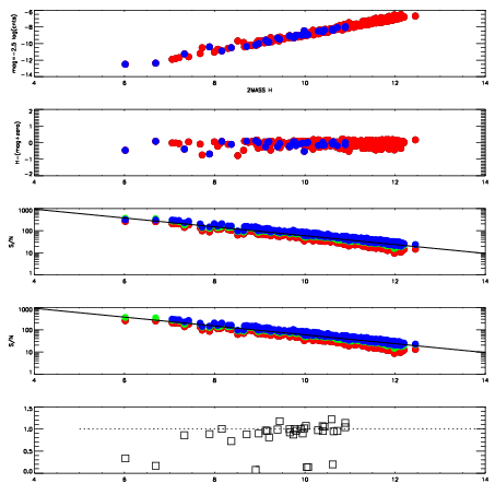
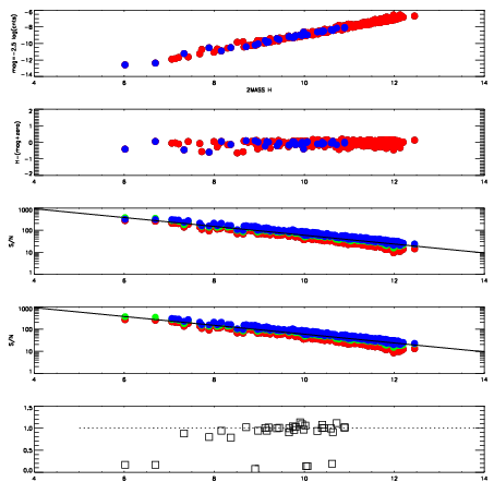
| Frame | Nreads | Zeropoints | Mag plots
| Spatial mag deviation
| Spatial sky 16325A emission deviations (filled: sky, open: star)
| Spatial sky continuum emission
| Spatial sky telluric CO2 absorption deviations (filled: H < 10)
|
| 6940050
| 47
| | Red | Green | Blue
| | z | | 18.97
| | znorm | | 14.79
| | sky | 14.7 | 14.2 | 14.2
| | S/N | 14.3 | 23.0 | 25.7
| | S/N(c) | 12.5 | 21.5 | 24.6
| | SN(E/C) | 0.95
|
|
|
|
|
|
|
| 6940051
| 47
| | Red | Green | Blue
| | z | | 18.98
| | znorm | | 14.80
| | sky | 14.7 | 14.4 | 14.5
| | S/N | 14.3 | 23.4 | 26.4
| | S/N(c) | 12.6 | 22.1 | 24.6
| | SN(E/C) | 0.95
|
|
|
|
|
|
|
| 6940052
| 47
| | Red | Green | Blue
| | z | | 19.04
| | znorm | | 14.86
| | sky | 14.6 | 14.4 | 14.6
| | S/N | 14.9 | 24.5 | 26.7
| | S/N(c) | 13.0 | 23.0 | 25.3
| | SN(E/C) | 0.94
|
|
|
|
|
|
|
| 6940053
| 47
| | Red | Green | Blue
| | z | | 19.00
| | znorm | | 14.82
| | sky | 14.4 | 14.4 | 14.6
| | S/N | 14.5 | 24.3 | 26.1
| | S/N(c) | 12.8 | 22.7 | 24.8
| | SN(E/C) | 0.97
|
|
|
|
|
|
|
| 6940054
| 47
| | Red | Green | Blue
| | z | | 18.99
| | znorm | | 14.81
| | sky | 14.7 | 14.5 | 14.6
| | S/N | 14.5 | 24.1 | 25.9
| | S/N(c) | 12.6 | 22.4 | 24.7
| | SN(E/C) | 0.95
|
|
|
|
|
|
|
| 6940055
| 47
| | Red | Green | Blue
| | z | | 19.01
| | znorm | | 14.83
| | sky | 14.8 | 14.5 | 14.7
| | S/N | 14.5 | 24.4 | 26.2
| | S/N(c) | 12.8 | 22.8 | 24.8
| | SN(E/C) | 0.99
|
|
|
|
|
|
|
| 6940056
| 47
| | Red | Green | Blue
| | z | | 19.06
| | znorm | | 14.88
| | sky | 14.6 | 14.6 | 14.7
| | S/N | 15.0 | 25.0 | 26.8
| | S/N(c) | 13.3 | 23.3 | 25.5
| | SN(E/C) | 0.95
|
|
|
|
|
|
|
| 6940057
| 47
| | Red | Green | Blue
| | z | | 19.04
| | znorm | | 14.86
| | sky | 14.8 | 14.6 | 14.6
| | S/N | 14.7 | 24.8 | 26.2
| | S/N(c) | 13.1 | 23.0 | 25.3
| | SN(E/C) | 0.95
|
|
|
|
|
|
|