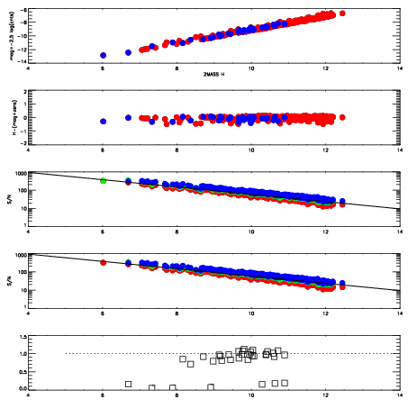
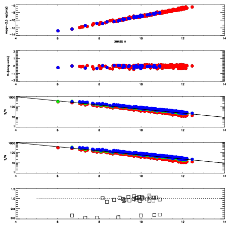
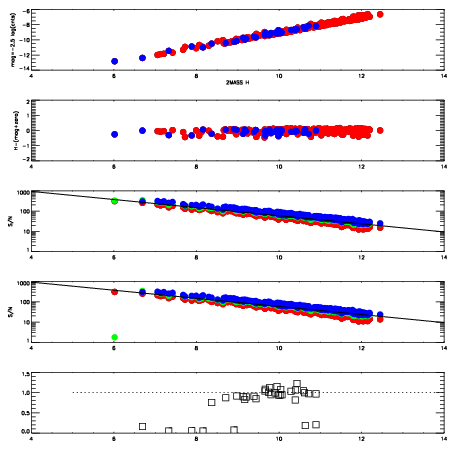
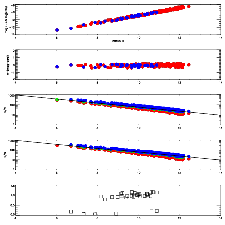
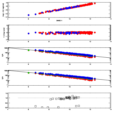
| Frame | Nreads | Zeropoints | Mag plots
| Spatial mag deviation
| Spatial sky 16325A emission deviations (filled: sky, open: star)
| Spatial sky continuum emission
| Spatial sky telluric CO2 absorption deviations (filled: H < 10)
|
| 7000050
| 47
| | Red | Green | Blue
| | z | | 19.15
| | znorm | | 14.97
| | sky | 14.4 | 14.0 | 14.0
| | S/N | 16.7 | 26.0 | 28.0
| | S/N(c) | 14.5 | 23.9 | 26.6
| | SN(E/C) | 0.93
|
|
|
|
|
|
|
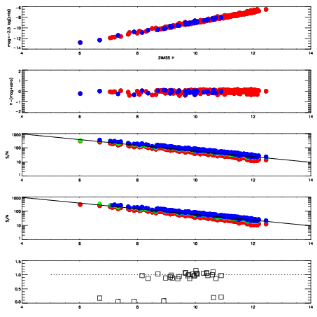
| 7000051
| 47
| | Red | Green | Blue
| | z | | 19.09
| | znorm | | 14.91
| | sky | 14.3 | 14.3 | 14.5
| | S/N | 15.5 | 25.1 | 27.4
| | S/N(c) | 13.7 | 22.8 | 25.7
| | SN(E/C) | 0.94
|
|
|
|
|
|
|
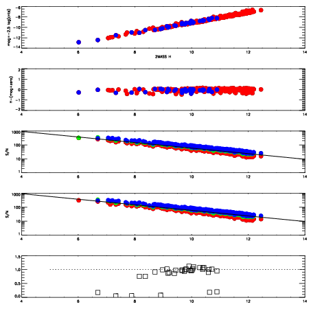
| 7000052
| 47
| | Red | Green | Blue
| | z | | 18.97
| | znorm | | 14.79
| | sky | 14.4 | 14.3 | 14.5
| | S/N | 14.3 | 23.4 | 25.6
| | S/N(c) | 12.4 | 21.2 | 23.9
| | SN(E/C) | 0.96
|
|
|
|
|
|
|
| 7000053
| 47
| | Red | Green | Blue
| | z | | 19.14
| | znorm | | 14.96
| | sky | 14.4 | 14.2 | 14.4
| | S/N | 16.1 | 26.1 | 27.8
| | S/N(c) | 14.2 | 23.3 | 26.3
| | SN(E/C) | 0.97
|
|
|
|
|
|
|
| 7000054
| 47
| | Red | Green | Blue
| | z | | 18.96
| | znorm | | 14.78
| | sky | 14.6 | 14.4 | 14.6
| | S/N | 14.3 | 23.6 | 25.5
| | S/N(c) | 12.4 | 21.4 | 23.8
| | SN(E/C) | 0.96
|
|
|
|
|
|
|
| 7000055
| 47
| | Red | Green | Blue
| | z | | 18.97
| | znorm | | 14.79
| | sky | 14.4 | 14.4 | 14.6
| | S/N | 14.4 | 23.9 | 25.6
| | S/N(c) | 12.7 | 21.9 | 24.2
| | SN(E/C) | 0.97
|
|
|
|
|
|
|
| 7000056
| 47
| | Red | Green | Blue
| | z | | 19.02
| | znorm | | 14.84
| | sky | 14.7 | 14.4 | 14.5
| | S/N | 14.9 | 24.6 | 26.0
| | S/N(c) | 13.2 | 22.2 | 24.7
| | SN(E/C) | 0.96
|
|
|
|
|
|
|
| 7000057
| 47
| | Red | Green | Blue
| | z | | 19.11
| | znorm | | 14.93
| | sky | 14.3 | 14.3 | 14.4
| | S/N | 15.9 | 25.9 | 27.1
| | S/N(c) | 13.9 | 23.5 | 25.8
| | SN(E/C) | 0.97
|
|
|
|
|
|
|