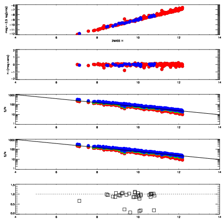
| Frame | Nreads | Zeropoints | Mag plots
| Spatial mag deviation
| Spatial sky 16325A emission deviations (filled: sky, open: star)
| Spatial sky continuum emission
| Spatial sky telluric CO2 absorption deviations (filled: H < 10)
|
| 7000061
| 47
| | Red | Green | Blue
| | z | | 19.01
| | znorm | | 14.83
| | sky | 14.1 | 13.8 | 13.9
| | S/N | 14.7 | 22.3 | 26.7
| | S/N(c) | 13.0 | 20.8 | 25.1
| | SN(E/C) | 0.96
|
|
|
|
|
|
|
| 7000062
| 47
| | Red | Green | Blue
| | z | | 18.97
| | znorm | | 14.79
| | sky | 13.6 | 13.5 | 13.7
| | S/N | 14.0 | 21.3 | 25.4
| | S/N(c) | 12.5 | 19.6 | 23.8
| | SN(E/C) | 0.94
|
|
|
|
|
|
|
| 7000063
| 47
| | Red | Green | Blue
| | z | | 19.03
| | znorm | | 14.85
| | sky | 13.8 | 13.7 | 13.8
| | S/N | 14.5 | 22.3 | 26.3
| | S/N(c) | 13.0 | 20.6 | 24.6
| | SN(E/C) | 0.93
|
|
|
|
|
|
|
| 7000064
| 47
| | Red | Green | Blue
| | z | | 18.99
| | znorm | | 14.81
| | sky | 13.8 | 13.7 | 13.8
| | S/N | 14.3 | 21.8 | 25.4
| | S/N(c) | 12.7 | 20.1 | 23.7
| | SN(E/C) | 0.94
|
|
|
|
|
|
|
| 7000065
| 47
| | Red | Green | Blue
| | z | | 18.89
| | znorm | | 14.71
| | sky | 14.1 | 14.0 | 14.2
| | S/N | 13.2 | 21.2 | 24.9
| | S/N(c) | 11.8 | 19.4 | 23.1
| | SN(E/C) | 0.97
|
|
|
|
|
|
|
| 7000066
| 47
| | Red | Green | Blue
| | z | | 18.98
| | znorm | | 14.80
| | sky | 14.2 | 14.2 | 14.2
| | S/N | 14.5 | 22.1 | 26.0
| | S/N(c) | 12.8 | 20.6 | 24.3
| | SN(E/C) | 0.96
|
|
|
|
|
|
|
| 7000067
| 47
| | Red | Green | Blue
| | z | | 19.01
| | znorm | | 14.83
| | sky | 14.0 | 13.9 | 14.0
| | S/N | 14.6 | 22.7 | 26.1
| | S/N(c) | 12.8 | 20.7 | 24.4
| | SN(E/C) | 0.95
|
|
|
|
|
|
|
| 7000068
| 47
| | Red | Green | Blue
| | z | | 18.86
| | znorm | | 14.68
| | sky | 13.7 | 13.6 | 13.7
| | S/N | 13.0 | 20.4 | 23.6
| | S/N(c) | 11.4 | 18.5 | 21.9
| | SN(E/C) | 0.96
|
|
|
|
|
|
|