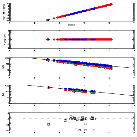
Left plots: red are targets, blue are telluric. Observed mags are calculated from median value of green chip. Zeropoint gives overall throughput: bigger number is more throughput.
First spatial plots: circles are objects, squares are tellurics, crosses are sky fibers. Colors give deviation of observed mag from expected 2MASS mag using the median zeropoint; red is brighter
Second spatial plots: circles are sky fibers. Colors give sky line brightness relative to plate median sky line brightness
FrameNreadsZeropointsMag plots Spatial mag deviation Spatial sky 16325A emission deviations (filled: sky, open: star) Spatial sky continuum emission Spatial sky telluric CO2 absorption deviations (filled: H < 10)
0 0
RedGreenBlue
z17.64
znorm Inf
sky -Inf -Inf -Inf
S/N 22.9 35.9 42.7
S/N(c) 0.0 0.0 0.0
SN(E/C) 0.97

IPAIRNAMESHIFTNEWSHIFTS/N NAMESHIFTNEWSHIFTS/N
0 07000063 0.350744 0.00000 292.528 07000061 0.00000 0.350744 290.256
1 07000067 0.345947 0.00479701 288.886 07000064 -0.00253427 0.353278 286.465
2 07000062 0.350573 0.000171006 284.339 07000065 -0.0121309 0.362875 274.545
3 07000066 0.343995 0.00674900 284.242 07000068 -0.00424504 0.354989 270.060