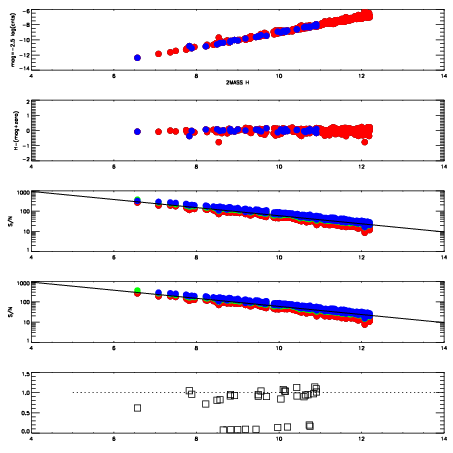
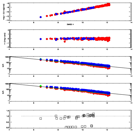
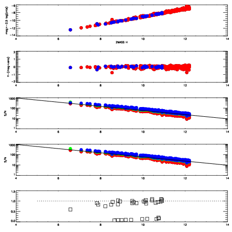
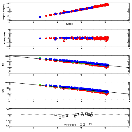
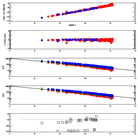
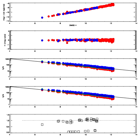
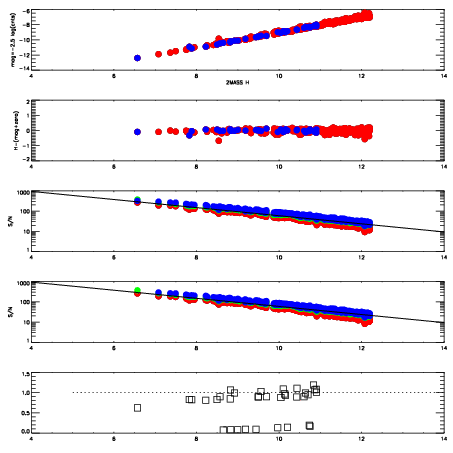
| Frame | Nreads | Zeropoints | Mag plots
| Spatial mag deviation
| Spatial sky 16325A emission deviations (filled: sky, open: star)
| Spatial sky continuum emission
| Spatial sky telluric CO2 absorption deviations (filled: H < 10)
|
| 7280037
| 47
| | Red | Green | Blue
| | z | | 19.01
| | znorm | | 14.83
| | sky | 14.7 | 14.5 | 14.3
| | S/N | 15.1 | 24.8 | 26.8
| | S/N(c) | 13.7 | 23.4 | 25.7
| | SN(E/C) | 0.91
|
|
|
|
|
|
|
| 7280038
| 47
| | Red | Green | Blue
| | z | | 19.07
| | znorm | | 14.89
| | sky | 15.1 | 14.8 | 15.0
| | S/N | 15.5 | 25.2 | 27.9
| | S/N(c) | 13.6 | 23.7 | 26.5
| | SN(E/C) | 0.90
|
|
|
|
|
|
|
| 7280039
| 47
| | Red | Green | Blue
| | z | | 19.06
| | znorm | | 14.88
| | sky | 15.0 | 14.8 | 14.9
| | S/N | 15.3 | 25.2 | 27.6
| | S/N(c) | 13.5 | 23.6 | 26.4
| | SN(E/C) | 0.90
|
|
|
|
|
|
|
| 7280040
| 47
| | Red | Green | Blue
| | z | | 19.08
| | znorm | | 14.90
| | sky | 15.1 | 14.8 | 15.0
| | S/N | 15.7 | 25.5 | 27.9
| | S/N(c) | 13.9 | 23.8 | 26.5
| | SN(E/C) | 0.91
|
|
|
|
|
|
|
| 7280041
| 47
| | Red | Green | Blue
| | z | | 19.07
| | znorm | | 14.89
| | sky | 15.2 | 14.8 | 14.9
| | S/N | 15.4 | 25.6 | 27.8
| | S/N(c) | 13.7 | 23.8 | 26.3
| | SN(E/C) | 0.90
|
|
|
|
|
|
|
| 7280042
| 47
| | Red | Green | Blue
| | z | | 19.06
| | znorm | | 14.88
| | sky | 14.9 | 14.8 | 14.9
| | S/N | 15.1 | 25.2 | 27.4
| | S/N(c) | 13.5 | 23.4 | 26.1
| | SN(E/C) | 0.89
|
|
|
|
|
|
|
| 7280043
| 47
| | Red | Green | Blue
| | z | | 19.04
| | znorm | | 14.86
| | sky | 15.0 | 14.8 | 15.0
| | S/N | 14.8 | 25.1 | 27.2
| | S/N(c) | 13.3 | 23.4 | 25.9
| | SN(E/C) | 0.93
|
|
|
|
|
|
|
| 7280044
| 47
| | Red | Green | Blue
| | z | | 18.96
| | znorm | | 14.78
| | sky | 15.0 | 14.8 | 15.1
| | S/N | 14.1 | 24.0 | 26.1
| | S/N(c) | 12.5 | 22.5 | 24.8
| | SN(E/C) | 0.94
|
|
|
|
|
|
|