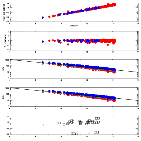
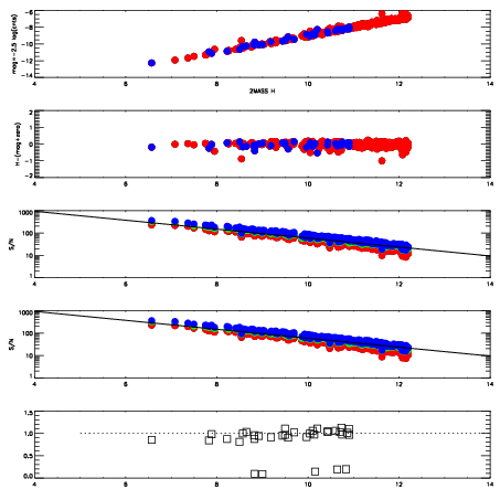
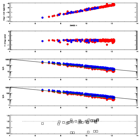
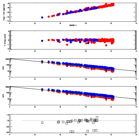
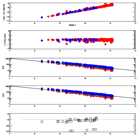
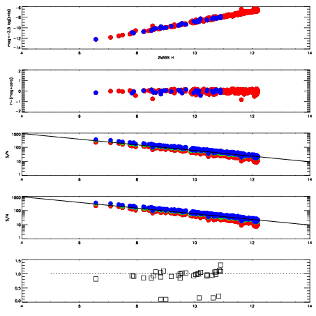
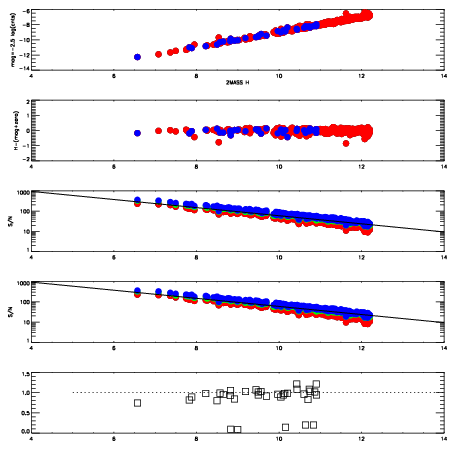
| Frame | Nreads | Zeropoints | Mag plots
| Spatial mag deviation
| Spatial sky 16325A emission deviations (filled: sky, open: star)
| Spatial sky continuum emission
| Spatial sky telluric CO2 absorption deviations (filled: H < 10)
|
| 10230073
| 47
| | Red | Green | Blue
| | z | | 18.99
| | znorm | | 14.81
| | sky | 14.8 | 14.5 | 14.4
| | S/N | 14.1 | 23.1 | 24.4
| | S/N(c) | 12.6 | 22.0 | 23.0
| | SN(E/C) | 0.95
|
|
|
|
|
|
|
| 10230074
| 47
| | Red | Green | Blue
| | z | | 19.01
| | znorm | | 14.83
| | sky | 14.7 | 14.7 | 14.8
| | S/N | 14.2 | 23.5 | 24.9
| | S/N(c) | 12.7 | 22.2 | 23.3
| | SN(E/C) | 0.91
|
|
|
|
|
|
|
| 10230075
| 47
| | Red | Green | Blue
| | z | | 19.01
| | znorm | | 14.83
| | sky | 14.7 | 14.6 | 14.9
| | S/N | 13.9 | 23.3 | 24.5
| | S/N(c) | 12.5 | 22.0 | 23.2
| | SN(E/C) | 0.93
|
|
|
|
|
|
|
| 10230076
| 47
| | Red | Green | Blue
| | z | | 19.02
| | znorm | | 14.84
| | sky | 15.0 | 14.6 | 14.9
| | S/N | 14.3 | 23.6 | 25.1
| | S/N(c) | 12.7 | 22.3 | 23.5
| | SN(E/C) | 0.96
|
|
|
|
|
|
|
| 10230077
| 47
| | Red | Green | Blue
| | z | | 19.00
| | znorm | | 14.82
| | sky | 14.8 | 14.7 | 14.8
| | S/N | 14.2 | 23.5 | 25.2
| | S/N(c) | 12.6 | 22.1 | 23.6
| | SN(E/C) | 0.95
|
|
|
|
|
|
|
| 10230078
| 47
| | Red | Green | Blue
| | z | | 18.95
| | znorm | | 14.77
| | sky | 14.9 | 14.8 | 15.1
| | S/N | 13.7 | 23.1 | 24.6
| | S/N(c) | 12.3 | 21.5 | 23.0
| | SN(E/C) | 0.98
|
|
|
|
|
|
|
| 10230079
| 47
| | Red | Green | Blue
| | z | | 19.01
| | znorm | | 14.83
| | sky | 14.8 | 14.8 | 14.9
| | S/N | 14.1 | 23.8 | 24.8
| | S/N(c) | 12.7 | 22.2 | 23.4
| | SN(E/C) | 0.95
|
|
|
|
|
|
|
| 10230080
| 47
| | Red | Green | Blue
| | z | | 18.91
| | znorm | | 14.73
| | sky | 14.9 | 14.8 | 14.9
| | S/N | 13.2 | 22.5 | 23.4
| | S/N(c) | 11.9 | 21.1 | 22.3
| | SN(E/C) | 0.94
|
|
|
|
|
|
|