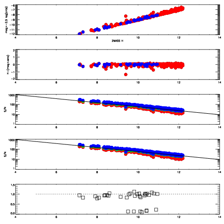
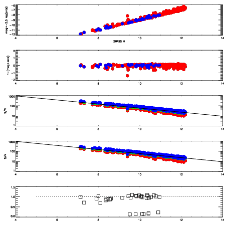
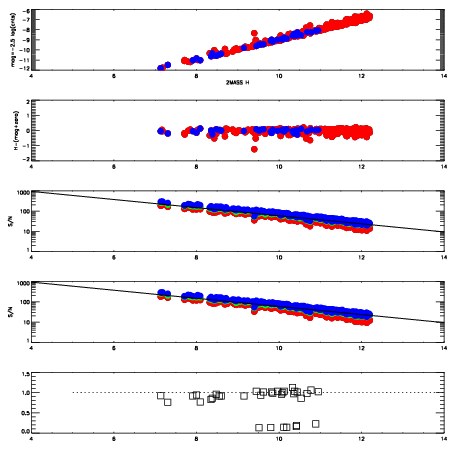
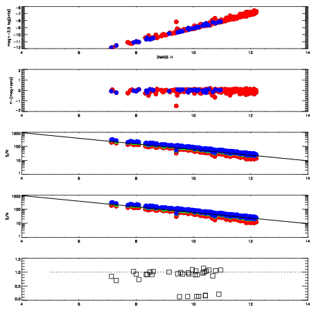
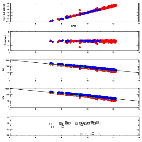
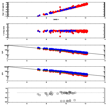
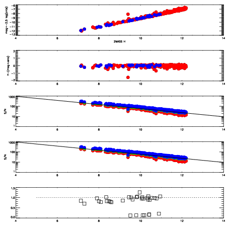
| Frame | Nreads | Zeropoints | Mag plots
| Spatial mag deviation
| Spatial sky 16325A emission deviations (filled: sky, open: star)
| Spatial sky continuum emission
| Spatial sky telluric CO2 absorption deviations (filled: H < 10)
|
| 6950060
| 47
| | Red | Green | Blue
| | z | | 18.99
| | znorm | | 14.81
| | sky | 14.9 | 14.3 | 14.2
| | S/N | 15.6 | 24.3 | 28.2
| | S/N(c) | 13.8 | 22.2 | 27.1
| | SN(E/C) | 0.92
|
|
|
|
|
|
|
| 6950061
| 47
| | Red | Green | Blue
| | z | | 18.95
| | znorm | | 14.77
| | sky | 14.6 | 14.5 | 14.6
| | S/N | 15.1 | 24.1 | 27.7
| | S/N(c) | 13.5 | 21.9 | 26.1
| | SN(E/C) | 0.95
|
|
|
|
|
|
|
| 6950062
| 47
| | Red | Green | Blue
| | z | | 19.00
| | znorm | | 14.82
| | sky | 14.7 | 14.4 | 14.5
| | S/N | 15.5 | 24.4 | 27.8
| | S/N(c) | 13.6 | 22.6 | 26.7
| | SN(E/C) | 0.93
|
|
|
|
|
|
|
| 6950063
| 47
| | Red | Green | Blue
| | z | | 18.97
| | znorm | | 14.79
| | sky | 14.7 | 14.5 | 14.5
| | S/N | 15.4 | 24.2 | 27.7
| | S/N(c) | 13.6 | 22.4 | 26.3
| | SN(E/C) | 0.94
|
|
|
|
|
|
|
| 6950064
| 47
| | Red | Green | Blue
| | z | | 19.01
| | znorm | | 14.83
| | sky | 14.6 | 14.5 | 14.6
| | S/N | 15.5 | 24.7 | 28.0
| | S/N(c) | 13.7 | 22.9 | 26.7
| | SN(E/C) | 0.93
|
|
|
|
|
|
|
| 6950065
| 47
| | Red | Green | Blue
| | z | | 19.03
| | znorm | | 14.85
| | sky | 14.7 | 14.5 | 14.4
| | S/N | 15.7 | 24.9 | 27.8
| | S/N(c) | 13.9 | 23.1 | 26.6
| | SN(E/C) | 0.97
|
|
|
|
|
|
|
| 6950066
| 47
| | Red | Green | Blue
| | z | | 19.05
| | znorm | | 14.87
| | sky | 14.8 | 14.5 | 14.4
| | S/N | 15.9 | 25.2 | 27.9
| | S/N(c) | 14.2 | 23.4 | 26.7
| | SN(E/C) | 0.93
|
|
|
|
|
|
|
| 6950067
| 47
| | Red | Green | Blue
| | z | | 19.10
| | znorm | | 14.91
| | sky | 14.5 | 14.5 | 14.4
| | S/N | 16.4 | 25.6 | 28.3
| | S/N(c) | 14.6 | 23.9 | 27.3
| | SN(E/C) | 0.91
|
|
|
|
|
|
|