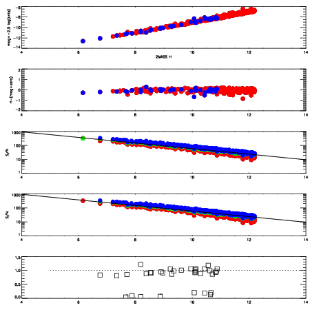
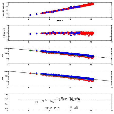
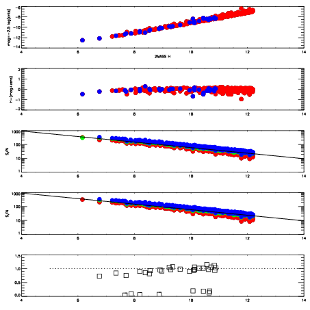
| Frame | Nreads | Zeropoints | Mag plots
| Spatial mag deviation
| Spatial sky 16325A emission deviations (filled: sky, open: star)
| Spatial sky continuum emission
| Spatial sky telluric CO2 absorption deviations (filled: H < 10)
|
| 6940061
| 47
| | Red | Green | Blue
| | z | | 18.96
| | znorm | | 14.78
| | sky | 14.8 | 14.4 | 14.2
| | S/N | 15.1 | 23.2 | 26.2
| | S/N(c) | 13.3 | 21.7 | 25.4
| | SN(E/C) | 0.91
|
|
|
|
|
|
|
| 6940062
| 47
| | Red | Green | Blue
| | z | | 19.07
| | znorm | | 14.89
| | sky | 14.5 | 14.3 | 14.5
| | S/N | 15.9 | 24.5 | 28.4
| | S/N(c) | 14.1 | 23.0 | 27.1
| | SN(E/C) | 0.91
|
|
|
|
|
|
|
| 6940063
| 47
| | Red | Green | Blue
| | z | | 19.12
| | znorm | | 14.94
| | sky | 14.9 | 14.5 | 14.5
| | S/N | 16.5 | 25.1 | 29.0
| | S/N(c) | 14.7 | 23.4 | 27.8
| | SN(E/C) | 0.94
|
|
|
|
|
|
|
| 6940064
| 47
| | Red | Green | Blue
| | z | | 19.04
| | znorm | | 14.86
| | sky | 15.0 | 14.5 | 14.5
| | S/N | 15.7 | 24.3 | 27.7
| | S/N(c) | 13.9 | 22.6 | 26.6
| | SN(E/C) | 0.93
|
|
|
|
|
|
|
| 6940065
| 47
| | Red | Green | Blue
| | z | | 19.05
| | znorm | | 14.87
| | sky | 14.8 | 14.6 | 14.5
| | S/N | 16.0 | 24.5 | 28.0
| | S/N(c) | 14.1 | 22.8 | 26.7
| | SN(E/C) | 0.92
|
|
|
|
|
|
|
| 6940066
| 47
| | Red | Green | Blue
| | z | | 19.06
| | znorm | | 14.88
| | sky | 14.7 | 14.6 | 14.6
| | S/N | 15.8 | 24.7 | 28.0
| | S/N(c) | 13.9 | 23.0 | 26.8
| | SN(E/C) | 0.94
|
|
|
|
|
|
|
| 6940067
| 47
| | Red | Green | Blue
| | z | | 19.09
| | znorm | | 14.91
| | sky | 14.7 | 14.4 | 14.4
| | S/N | 16.3 | 25.0 | 28.4
| | S/N(c) | 14.4 | 23.3 | 27.2
| | SN(E/C) | 0.91
|
|
|
|
|
|
|
| 6940068
| 47
| | Red | Green | Blue
| | z | | 19.00
| | znorm | | 14.82
| | sky | 14.8 | 14.6 | 14.5
| | S/N | 15.4 | 23.9 | 27.1
| | S/N(c) | 13.5 | 22.3 | 25.7
| | SN(E/C) | 0.97
|
|
|
|
|
|
|