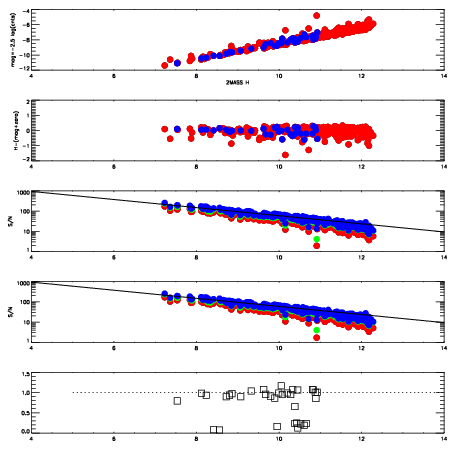
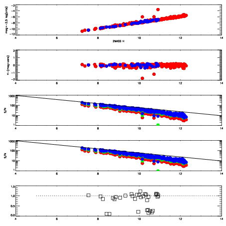
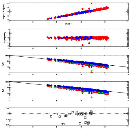
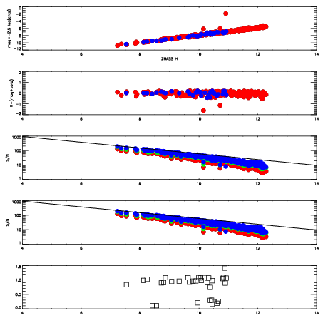
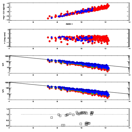
Frame | Nreads | Zeropoints | Mag plots
| Spatial mag deviation
| Spatial sky 16325A emission deviations (filled: sky, open: star)
| Spatial sky continuum emission
| Spatial sky telluric CO2 absorption deviations (filled: H < 10)
|
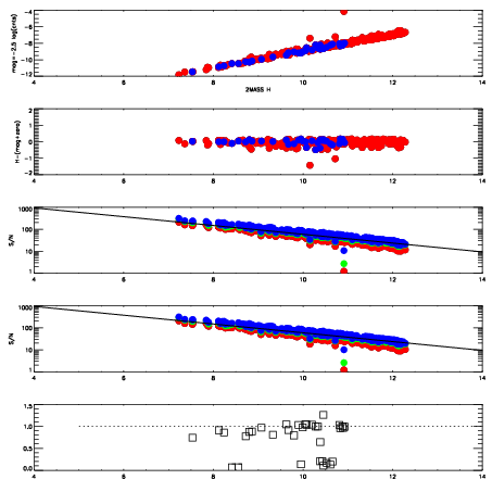
7540037
| 47
| | Red | Green | Blue
| z | | 18.40
| znorm | | 14.22
| sky | 12.8 | 12.7 | 12.7
| S/N | 7.6 | 12.9 | 14.4
| S/N(c) | 6.8 | 12.2 | 13.5
| SN(E/C) | 0.95
|
|
|
|
|
|
|
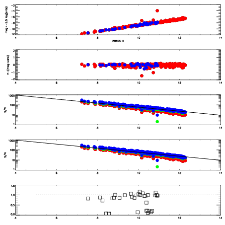
7540038
| 47
| | Red | Green | Blue
| z | | 18.51
| znorm | | 14.33
| sky | 13.0 | 12.9 | 13.0
| S/N | 8.3 | 13.7 | 16.2
| S/N(c) | 7.2 | 12.7 | 14.9
| SN(E/C) | 0.94
|
|
|
|
|
|
|
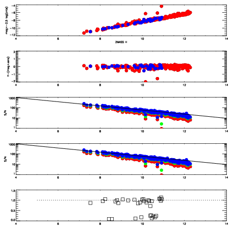
7540039
| 47
| | Red | Green | Blue
| z | | 18.18
| znorm | | 14.00
| sky | 13.0 | 12.9 | 13.0
| S/N | 6.2 | 11.0 | 12.0
| S/N(c) | 5.5 | 9.9 | 11.2
| SN(E/C) | 1.00
|
|
|
|
|
|
|
7540040
| 47
| | Red | Green | Blue
| z | | 18.66
| znorm | | 14.48
| sky | 13.0 | 12.9 | 12.9
| S/N | 9.6 | 16.8 | 17.7
| S/N(c) | 8.8 | 15.0 | 17.1
| SN(E/C) | 0.92
|
|
|
|
|
|
|
7540041
| 47
| | Red | Green | Blue
| z | | 17.90
| znorm | | 13.72
| sky | 12.3 | 12.2 | 12.3
| S/N | 4.7 | 8.2 | 9.1
| S/N(c) | 4.3 | 7.4 | 8.4
| SN(E/C) | 0.95
|
|
|
|
|
|
|
7540042
| 47
| | Red | Green | Blue
| z | | 17.90
| znorm | | 13.72
| sky | 12.3 | 12.2 | 12.3
| S/N | 4.4 | 8.0 | 9.1
| S/N(c) | 4.3 | 7.5 | 8.5
| SN(E/C) | 0.96
|
|
|
|
|
|
|
7540043
| 47
| | Red | Green | Blue
| z | | 18.97
| znorm | | 14.79
| sky | 13.5 | 13.5 | 13.6
| S/N | 12.9 | 21.4 | 23.9
| S/N(c) | 11.7 | 20.0 | 22.3
| SN(E/C) | 0.91
|
|
|
|
|
|
|
7540044
| 47
| | Red | Green | Blue
| z | | 18.86
| znorm | | 14.68
| sky | 13.2 | 13.1 | 13.2
| S/N | 11.4 | 19.2 | 21.4
| S/N(c) | 10.0 | 17.8 | 20.1
| SN(E/C) | 0.91
|
|
|
|
|
|
|