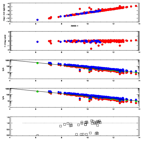
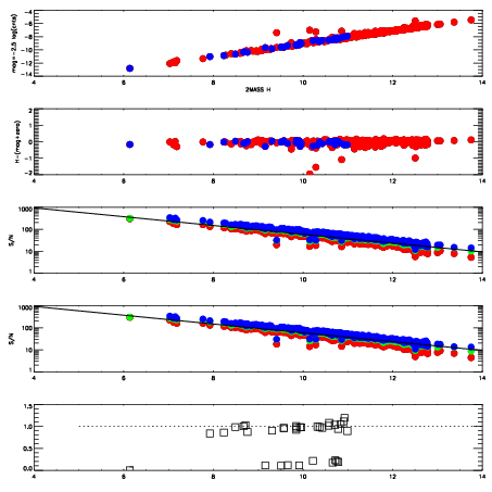
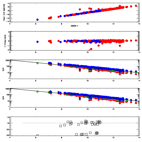
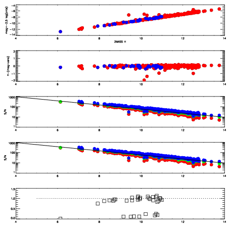
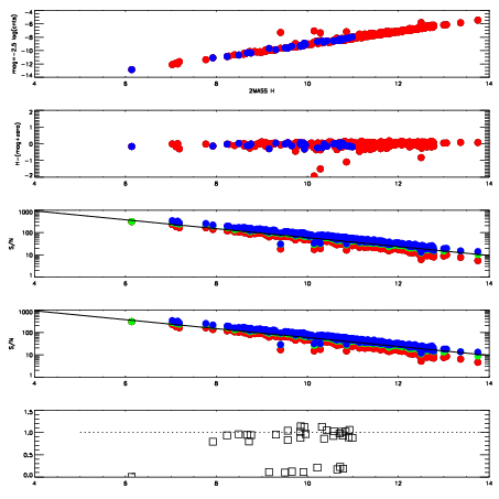
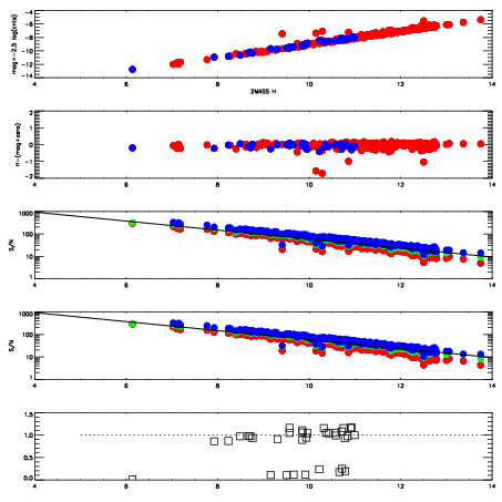
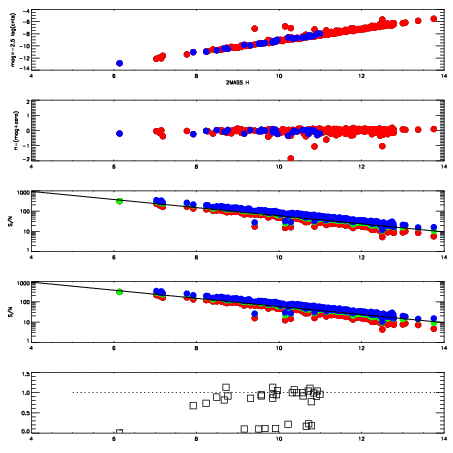
| Frame | Nreads | Zeropoints | Mag plots
| Spatial mag deviation
| Spatial sky 16325A emission deviations (filled: sky, open: star)
| Spatial sky continuum emission
| Spatial sky telluric CO2 absorption deviations (filled: H < 10)
|
| 6930073
| 47
| | Red | Green | Blue
| | z | | 19.17
| | znorm | | 14.99
| | sky | 15.8 | 15.0 | 15.0
| | S/N | 17.8 | 27.3 | 32.0
| | S/N(c) | 16.0 | 25.4 | 30.2
| | SN(E/C) | 0.92
|
|
|
|
|
|
|
| 6930074
| 47
| | Red | Green | Blue
| | z | | 19.19
| | znorm | | 15.01
| | sky | 15.7 | 15.1 | 15.6
| | S/N | 18.1 | 27.6 | 32.1
| | S/N(c) | 16.2 | 25.7 | 30.6
| | SN(E/C) | 0.91
|
|
|
|
|
|
|
| 6930075
| 47
| | Red | Green | Blue
| | z | | 19.10
| | znorm | | 14.92
| | sky | 16.2 | 15.2 | 15.8
| | S/N | 17.0 | 26.5 | 30.9
| | S/N(c) | 15.4 | 24.6 | 29.0
| | SN(E/C) | 0.92
|
|
|
|
|
|
|
| 6930076
| 47
| | Red | Green | Blue
| | z | | 19.05
| | znorm | | 14.87
| | sky | 15.8 | 15.3 | 15.8
| | S/N | 16.4 | 25.4 | 30.0
| | S/N(c) | 14.7 | 23.7 | 28.2
| | SN(E/C) | 0.91
|
|
|
|
|
|
|
| 6930077
| 47
| | Red | Green | Blue
| | z | | 19.08
| | znorm | | 14.90
| | sky | 15.4 | 15.2 | 15.6
| | S/N | 16.6 | 26.4 | 30.2
| | S/N(c) | 14.9 | 24.3 | 28.7
| | SN(E/C) | 0.97
|
|
|
|
|
|
|
| 6930078
| 47
| | Red | Green | Blue
| | z | | 19.11
| | znorm | | 14.93
| | sky | 15.5 | 15.3 | 15.8
| | S/N | 16.8 | 26.2 | 30.6
| | S/N(c) | 15.3 | 24.3 | 28.9
| | SN(E/C) | 0.96
|
|
|
|
|
|
|
| 6930079
| 47
| | Red | Green | Blue
| | z | | 19.00
| | znorm | | 14.82
| | sky | 15.8 | 15.5 | 15.7
| | S/N | 15.9 | 24.9 | 29.1
| | S/N(c) | 14.1 | 23.2 | 27.2
| | SN(E/C) | 0.93
|
|
|
|
|
|
|
| 6930080
| 47
| | Red | Green | Blue
| | z | | 19.14
| | znorm | | 14.96
| | sky | 15.6 | 15.4 | 15.8
| | S/N | 17.2 | 26.9 | 30.8
| | S/N(c) | 15.6 | 24.9 | 29.1
| | SN(E/C) | 0.93
|
|
|
|
|
|
|