PLATE: 6557 MJD: 56256 FIELD: 198+08

FrameCartsec zseeingNreadsDitherPixshiftZerosky continuumS/NS/N(c)
6940072 7 1.16 1.14 47 0.00 0.00 19.05 [15.21,14.43,14.38] [ 14.5, 24.0, 27.8] [ 12.9, 22.2, 25.6]
6940073 7 1.14 1.11 47 0.53 0.00 19.00 [14.61,14.41,14.57] [ 14.0, 23.5, 27.2] [ 12.3, 21.6, 25.2]
6940074 7 1.13 1.67 47 0.53 0.00 19.09 [14.66,14.45,14.55] [ 14.8, 24.3, 27.7] [ 13.2, 22.2, 25.7]
6940075 7 1.11 1.17 47 0.05 0.00 19.01 [14.91,14.60,14.60] [ 14.4, 23.3, 26.9] [ 12.4, 21.3, 25.0]
6940076 7 1.10 1.12 47 0.06 0.00 19.08 [14.54,14.54,14.58] [ 15.0, 24.6, 27.7] [ 12.9, 22.3, 25.7]
6940077 7 1.09 1.11 47 0.53 -0.00 19.00 [14.63,14.62,14.64] [ 14.1, 23.0, 26.4] [ 12.1, 21.3, 24.7]
6940078 7 1.08 1.78 47 0.52 -0.00 19.07 [14.66,14.63,14.60] [ 14.9, 24.3, 27.2] [ 12.7, 22.2, 25.3]
6940079 7 1.07 1.60 47 0.06 0.00 19.01 [14.57,14.61,14.67] [ 14.2, 23.5, 26.6] [ 12.3, 21.5, 24.6]
6940080 7 1.06 1.39 47 0.05 0.00 18.97 [14.70,14.80,14.69] [ 13.8, 23.2, 25.9] [ 11.9, 21.0, 24.0]
6940081 7 1.05 1.56 47 0.52 0.00 19.03 [14.83,14.70,14.71] [ 14.3, 23.7, 26.7] [ 12.3, 21.9, 25.0]
6940082 7 1.05 1.21 47 0.52 -0.00 19.07 [14.65,14.76,14.70] [ 14.9, 24.0, 27.2] [ 13.0, 22.2, 25.3]
6940083 7 1.04 1.16 47 0.05 -0.00 19.08 [14.80,14.68,14.70] [ 14.7, 24.3, 27.1] [ 12.7, 22.5, 25.2]

IPAIRNAMESHIFTNEWSHIFTS/N NAMESHIFTNEWSHIFTS/N
0 06940073 0.530 0.000 265.09 06940079 0.056 0.474 263.96
1 06940074 0.527 0.003 271.94 06940076 0.056 0.473 274.76
2 06940078 0.523 0.007 270.63 06940083 0.053 0.476 269.44
3 06940082 0.521 0.008 269.91 06940072 0.000 0.530 269.32
4 06940081 0.522 0.007 265.32 06940075 0.051 0.479 264.81
5 06940077 0.525 0.004 263.25 06940080 0.054 0.476 257.08

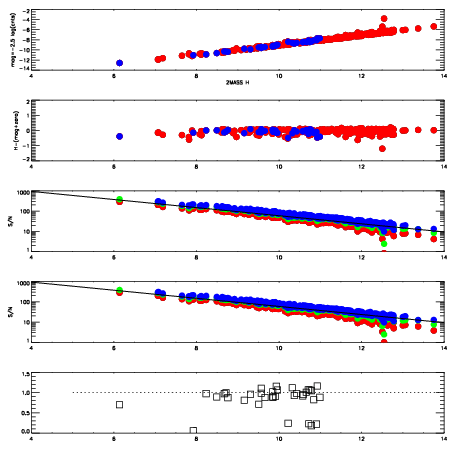
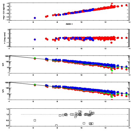
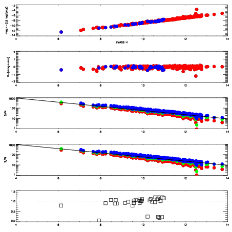
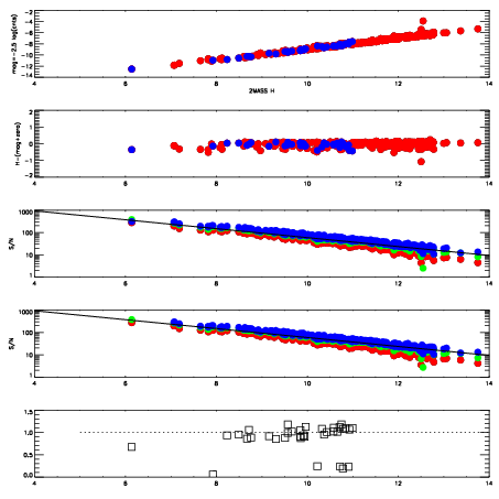
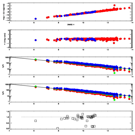
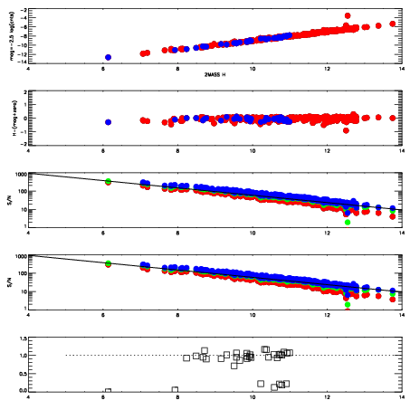
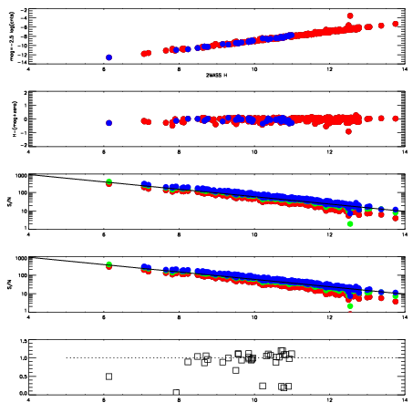
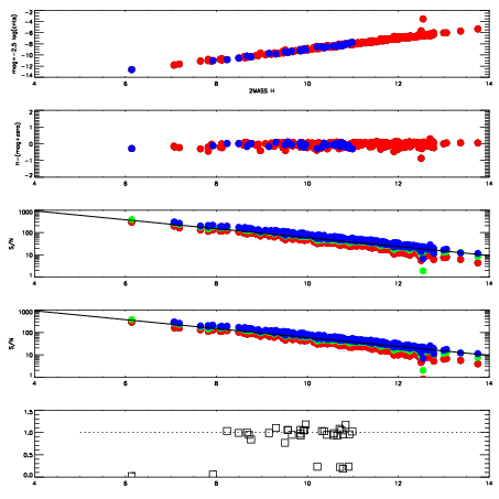
Visit (multiple exposure and dither combined) spectra

FrameZeropointsMag plots Spatial mag deviation Spatial sky 16325A emission deviations (filled: sky, open: star) Spatial sky continuum emission Spatial sky telluric CO2 absorption deviations (filled: H < 10)
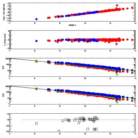
6940072
RedGreenBlue
z19.05
znorm14.87
sky 15.2 14.4 14.4
S/N 14.5 24.0 27.8
S/N(c) 12.9 22.2 25.6
SN(E/C) 0.97
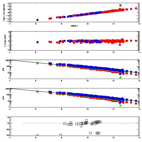
6940073
RedGreenBlue
z19.00
znorm14.82
sky 14.6 14.4 14.6
S/N 14.0 23.5 27.2
S/N(c) 12.3 21.6 25.2
SN(E/C) 0.95
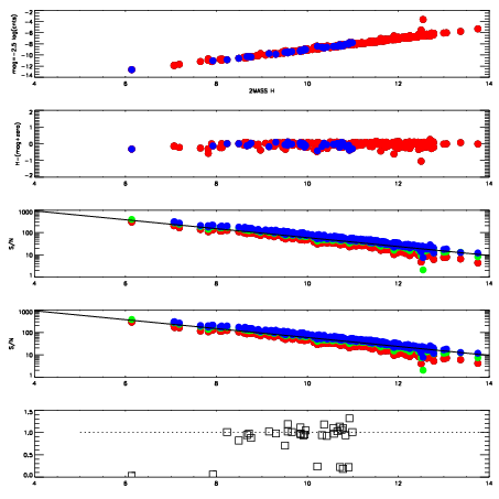
6940074
RedGreenBlue
z19.09
znorm14.91
sky 14.7 14.5 14.5
S/N 14.8 24.3 27.7
S/N(c) 13.2 22.2 25.7
SN(E/C) 0.93
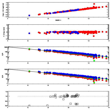
6940075
RedGreenBlue
z19.01
znorm14.83
sky 14.9 14.6 14.6
S/N 14.4 23.3 26.9
S/N(c) 12.4 21.3 25.0
SN(E/C) 0.99
6940076
RedGreenBlue
z19.08
znorm14.90
sky 14.5 14.5 14.6
S/N 15.0 24.6 27.7
S/N(c) 12.9 22.3 25.7
SN(E/C) 0.97
6940077
RedGreenBlue
z19.00
znorm14.82
sky 14.6 14.6 14.6
S/N 14.1 23.0 26.4
S/N(c) 12.1 21.3 24.7
SN(E/C) 0.98
6940078
RedGreenBlue
z19.07
znorm14.89
sky 14.7 14.6 14.6
S/N 14.9 24.3 27.2
S/N(c) 12.7 22.2 25.3
SN(E/C) 0.97
6940079
RedGreenBlue
z19.01
znorm14.83
sky 14.6 14.6 14.7
S/N 14.2 23.5 26.6
S/N(c) 12.3 21.5 24.6
SN(E/C) 0.99
6940080
RedGreenBlue
z18.97
znorm14.79
sky 14.7 14.8 14.7
S/N 13.8 23.2 25.9
S/N(c) 11.9 21.0 24.0
SN(E/C) 0.98
6940081
RedGreenBlue
z19.03
znorm14.85
sky 14.8 14.7 14.7
S/N 14.3 23.7 26.7
S/N(c) 12.3 21.9 25.0
SN(E/C) 0.98
6940082
RedGreenBlue
z19.07
znorm14.89
sky 14.6 14.8 14.7
S/N 14.9 24.0 27.2
S/N(c) 13.0 22.2 25.3
SN(E/C) 0.95
6940083
RedGreenBlue
z19.08
znorm14.90
sky 14.8 14.7 14.7
S/N 14.7 24.3 27.1
S/N(c) 12.7 22.5 25.2
SN(E/C) 0.96