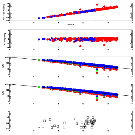
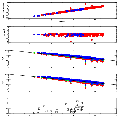
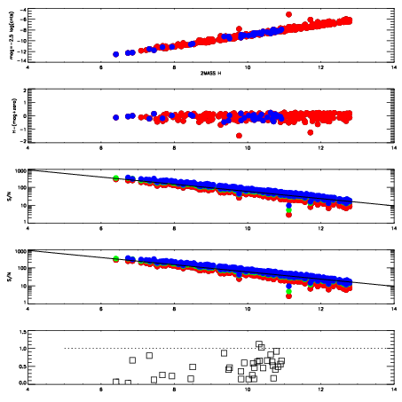
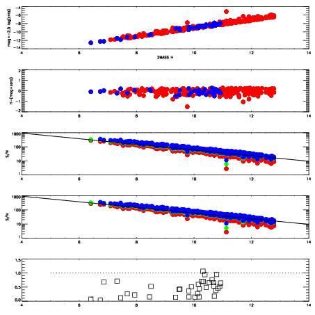
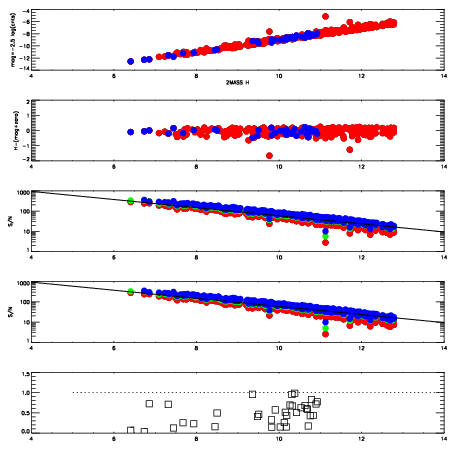
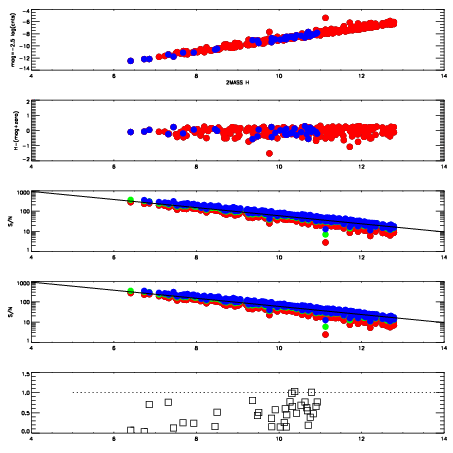
| Frame | Nreads | Zeropoints | Mag plots
| Spatial mag deviation
| Spatial sky 16325A emission deviations (filled: sky, open: star)
| Spatial sky continuum emission
| Spatial sky telluric CO2 absorption deviations (filled: H < 10)
|
| 10440025
| 47
| | Red | Green | Blue
| | z | | 18.97
| | znorm | | 14.79
| | sky | 15.2 | 14.7 | 14.4
| | S/N | 15.6 | 25.5 | 26.5
| | S/N(c) | 13.7 | 23.4 | 24.9
| | SN(E/C) | 0.51
|
|
|
|
|
|
|
| 10440026
| 47
| | Red | Green | Blue
| | z | | 19.07
| | znorm | | 14.89
| | sky | 14.6 | 14.5 | 14.7
| | S/N | 16.4 | 26.7 | 28.7
| | S/N(c) | 14.6 | 24.3 | 26.9
| | SN(E/C) | 0.46
|
|
|
|
|
|
|
| 10440027
| 47
| | Red | Green | Blue
| | z | | 19.02
| | znorm | | 14.84
| | sky | 14.8 | 14.6 | 14.7
| | S/N | 15.7 | 26.0 | 27.5
| | S/N(c) | 13.9 | 23.5 | 25.8
| | SN(E/C) | 0.49
|
|
|
|
|
|
|
| 10440028
| 47
| | Red | Green | Blue
| | z | | 19.06
| | znorm | | 14.88
| | sky | 14.8 | 14.7 | 14.6
| | S/N | 16.1 | 26.3 | 28.2
| | S/N(c) | 14.2 | 23.8 | 26.5
| | SN(E/C) | 0.50
|
|
|
|
|
|
|
| 10440029
| 47
| | Red | Green | Blue
| | z | | 19.05
| | znorm | | 14.87
| | sky | 14.9 | 14.7 | 14.7
| | S/N | 15.8 | 26.3 | 27.9
| | S/N(c) | 14.0 | 23.7 | 26.3
| | SN(E/C) | 0.48
|
|
|
|
|
|
|
| 10440030
| 47
| | Red | Green | Blue
| | z | | 19.07
| | znorm | | 14.89
| | sky | 15.1 | 14.7 | 14.7
| | S/N | 16.2 | 26.4 | 28.2
| | S/N(c) | 14.3 | 24.0 | 26.6
| | SN(E/C) | 0.47
|
|
|
|
|
|
|
| 10440031
| 47
| | Red | Green | Blue
| | z | | 19.13
| | znorm | | 14.95
| | sky | 14.7 | 14.6 | 14.6
| | S/N | 16.5 | 27.1 | 28.9
| | S/N(c) | 14.6 | 24.7 | 27.3
| | SN(E/C) | 0.48
|
|
|
|
|
|
|
| 10440032
| 47
| | Red | Green | Blue
| | z | | 19.12
| | znorm | | 14.94
| | sky | 15.1 | 14.7 | 14.6
| | S/N | 16.7 | 26.9 | 28.6
| | S/N(c) | 14.9 | 24.5 | 27.2
| | SN(E/C) | 0.50
|
|
|
|
|
|
|