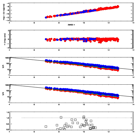
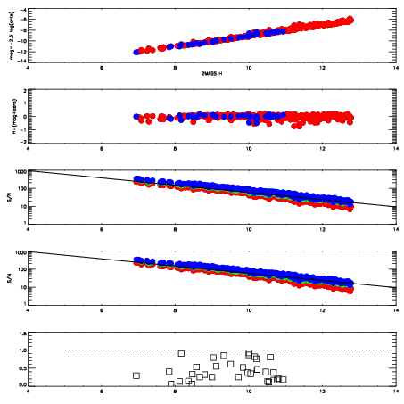
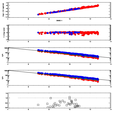
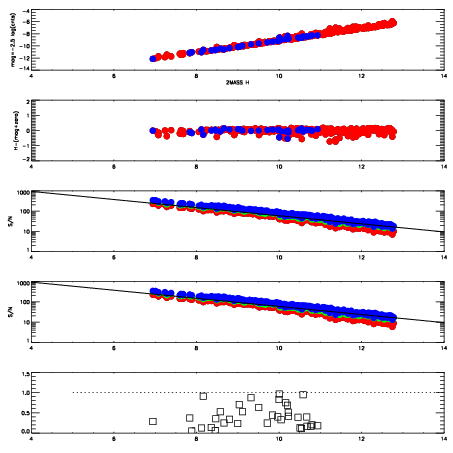
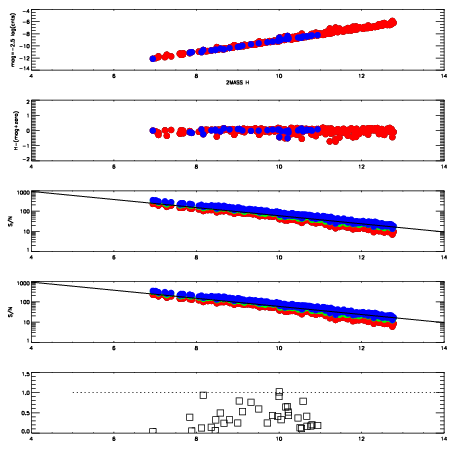
| Frame | Nreads | Zeropoints | Mag plots
| Spatial mag deviation
| Spatial sky 16325A emission deviations (filled: sky, open: star)
| Spatial sky continuum emission
| Spatial sky telluric CO2 absorption deviations (filled: H < 10)
|
| 10160050
| 47
| | Red | Green | Blue
| | z | | 19.04
| | znorm | | 14.86
| | sky | 14.7 | 14.5 | 14.4
| | S/N | 15.3 | 24.7 | 26.2
| | S/N(c) | 13.6 | 23.3 | 24.9
| | SN(E/C) | 0.40
|
|
|
|
|
|
|
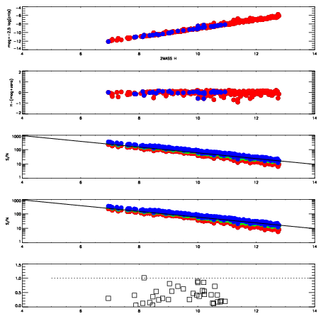
| 10160051
| 47
| | Red | Green | Blue
| | z | | 19.01
| | znorm | | 14.83
| | sky | 15.0 | 14.5 | 14.6
| | S/N | 15.0 | 24.4 | 26.4
| | S/N(c) | 13.3 | 22.8 | 25.0
| | SN(E/C) | 0.39
|
|
|
|
|
|
|
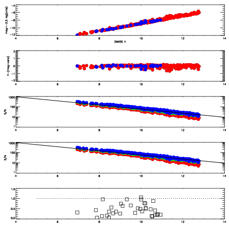
| 10160052
| 47
| | Red | Green | Blue
| | z | | 19.00
| | znorm | | 14.82
| | sky | 14.8 | 14.5 | 14.6
| | S/N | 14.7 | 24.1 | 26.0
| | S/N(c) | 12.9 | 22.4 | 24.5
| | SN(E/C) | 0.38
|
|
|
|
|
|
|
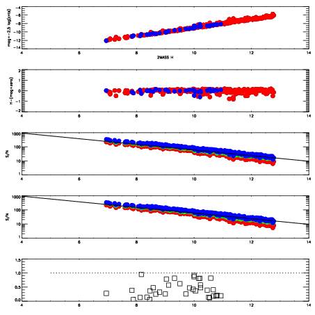
| 10160053
| 47
| | Red | Green | Blue
| | z | | 18.98
| | znorm | | 14.80
| | sky | 15.1 | 14.6 | 14.6
| | S/N | 14.6 | 24.1 | 26.0
| | S/N(c) | 13.0 | 22.4 | 24.4
| | SN(E/C) | 0.40
|
|
|
|
|
|
|
| 10160054
| 47
| | Red | Green | Blue
| | z | | 19.08
| | znorm | | 14.90
| | sky | 14.5 | 14.6 | 14.6
| | S/N | 15.4 | 25.5 | 27.5
| | S/N(c) | 13.8 | 23.7 | 26.0
| | SN(E/C) | 0.37
|
|
|
|
|
|
|
| 10160055
| 47
| | Red | Green | Blue
| | z | | 19.06
| | znorm | | 14.88
| | sky | 14.7 | 14.5 | 14.6
| | S/N | 15.3 | 25.2 | 26.9
| | S/N(c) | 13.7 | 23.3 | 25.7
| | SN(E/C) | 0.38
|
|
|
|
|
|
|
| 10160056
| 47
| | Red | Green | Blue
| | z | | 19.09
| | znorm | | 14.91
| | sky | 14.8 | 14.6 | 14.5
| | S/N | 15.5 | 26.0 | 27.3
| | S/N(c) | 13.8 | 23.7 | 25.8
| | SN(E/C) | 0.37
|
|
|
|
|
|
|
| 10160057
| 47
| | Red | Green | Blue
| | z | | 18.85
| | znorm | | 14.67
| | sky | 14.6 | 14.5 | 14.4
| | S/N | 13.1 | 22.6 | 23.6
| | S/N(c) | 11.6 | 20.7 | 22.1
| | SN(E/C) | 0.42
|
|
|
|
|
|
|