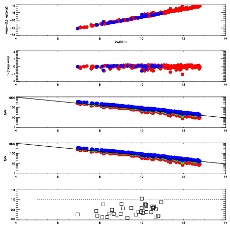
| Frame | Nreads | Zeropoints | Mag plots
| Spatial mag deviation
| Spatial sky 16325A emission deviations (filled: sky, open: star)
| Spatial sky continuum emission
| Spatial sky telluric CO2 absorption deviations (filled: H < 10)
|
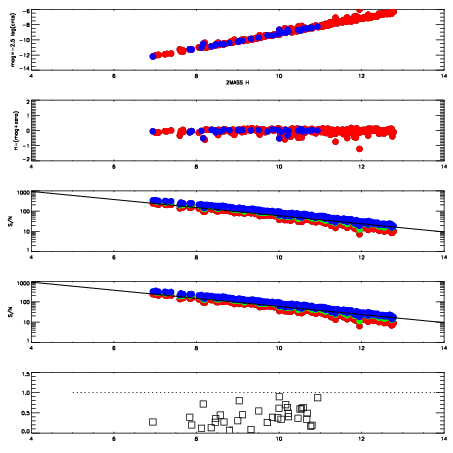
| 10440036
| 47
| | Red | Green | Blue
| | z | | 19.14
| | znorm | | 14.96
| | sky | 14.8 | 14.3 | 14.3
| | S/N | 16.3 | 25.8 | 28.1
| | S/N(c) | 14.6 | 23.9 | 26.7
| | SN(E/C) | 0.38
|
|
|
|
|
|
|
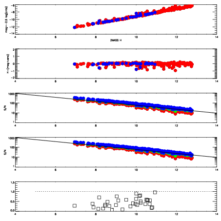
| 10440037
| 47
| | Red | Green | Blue
| | z | | 19.17
| | znorm | | 14.99
| | sky | 14.6 | 14.4 | 14.5
| | S/N | 16.4 | 26.3 | 29.3
| | S/N(c) | 14.6 | 24.6 | 27.7
| | SN(E/C) | 0.39
|
|
|
|
|
|
|
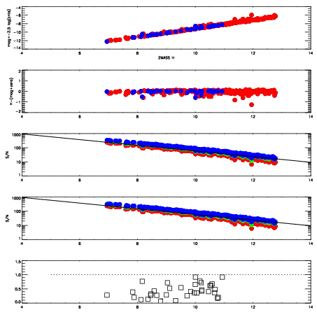
| 10440038
| 47
| | Red | Green | Blue
| | z | | 19.15
| | znorm | | 14.97
| | sky | 14.6 | 14.4 | 14.5
| | S/N | 16.2 | 26.0 | 28.8
| | S/N(c) | 14.5 | 24.4 | 27.2
| | SN(E/C) | 0.39
|
|
|
|
|
|
|
| 10440039
| 47
| | Red | Green | Blue
| | z | | 19.13
| | znorm | | 14.95
| | sky | 14.6 | 14.4 | 14.6
| | S/N | 16.0 | 26.1 | 28.5
| | S/N(c) | 14.3 | 24.2 | 26.8
| | SN(E/C) | 0.39
|
|
|
|
|
|
|
| 10440040
| 47
| | Red | Green | Blue
| | z | | 19.18
| | znorm | | 15.00
| | sky | 14.7 | 14.5 | 14.5
| | S/N | 16.7 | 25.9 | 29.3
| | S/N(c) | 14.9 | 24.4 | 28.0
| | SN(E/C) | 0.40
|
|
|
|
|
|
|
| 10440041
| 47
| | Red | Green | Blue
| | z | | 19.19
| | znorm | | 15.01
| | sky | 14.8 | 14.5 | 14.6
| | S/N | 16.4 | 26.0 | 29.2
| | S/N(c) | 14.8 | 24.5 | 27.7
| | SN(E/C) | 0.39
|
|
|
|
|
|
|
| 10440042
| 47
| | Red | Green | Blue
| | z | | 19.19
| | znorm | | 15.01
| | sky | 14.5 | 14.5 | 14.6
| | S/N | 16.5 | 25.8 | 29.4
| | S/N(c) | 15.0 | 24.2 | 28.0
| | SN(E/C) | 0.39
|
|
|
|
|
|
|
| 10440043
| 47
| | Red | Green | Blue
| | z | | 19.21
| | znorm | | 15.03
| | sky | 14.7 | 14.7 | 14.6
| | S/N | 16.6 | 26.4 | 29.6
| | S/N(c) | 15.0 | 24.9 | 28.1
| | SN(E/C) | 0.37
|
|
|
|
|
|
|