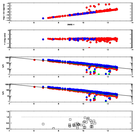
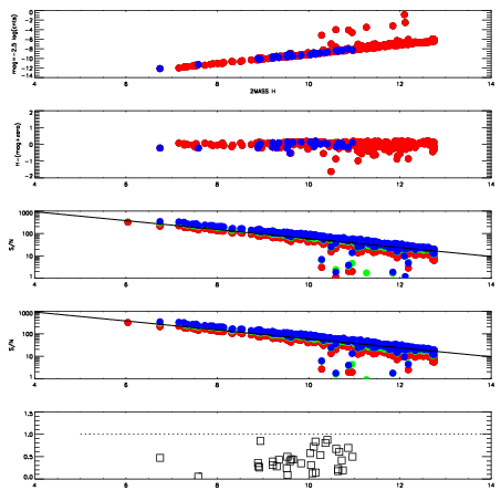
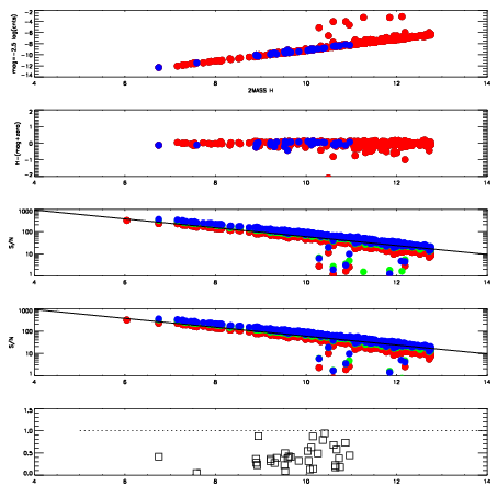
| Frame | Nreads | Zeropoints | Mag plots
| Spatial mag deviation
| Spatial sky 16325A emission deviations (filled: sky, open: star)
| Spatial sky continuum emission
| Spatial sky telluric CO2 absorption deviations (filled: H < 10)
|
| 10230049
| 47
| | Red | Green | Blue
| | z | | 19.07
| | znorm | | 14.89
| | sky | 14.4 | 14.0 | 14.0
| | S/N | 15.1 | 25.2 | 27.8
| | S/N(c) | 13.3 | 23.3 | 26.5
| | SN(E/C) | 0.41
|
|
|
|
|
|
|
| 10230050
| 47
| | Red | Green | Blue
| | z | | 19.12
| | znorm | | 14.94
| | sky | 14.4 | 14.0 | 14.1
| | S/N | 16.1 | 25.7 | 28.3
| | S/N(c) | 14.4 | 24.0 | 27.1
| | SN(E/C) | 0.40
|
|
|
|
|
|
|
| 10230051
| 47
| | Red | Green | Blue
| | z | | 19.13
| | znorm | | 14.95
| | sky | 14.4 | 14.1 | 14.1
| | S/N | 16.0 | 26.0 | 28.5
| | S/N(c) | 14.5 | 24.3 | 27.0
| | SN(E/C) | 0.40
|
|
|
|
|
|
|
| 10230052
| 47
| | Red | Green | Blue
| | z | | 19.08
| | znorm | | 14.90
| | sky | 14.4 | 14.1 | 14.1
| | S/N | 15.3 | 25.5 | 27.8
| | S/N(c) | 13.8 | 23.7 | 26.3
| | SN(E/C) | 0.41
|
|
|
|
|
|
|
| 10230053
| 47
| | Red | Green | Blue
| | z | | 19.10
| | znorm | | 14.92
| | sky | 14.5 | 14.2 | 14.1
| | S/N | 15.9 | 26.0 | 28.1
| | S/N(c) | 14.4 | 24.4 | 26.6
| | SN(E/C) | 0.40
|
|
|
|
|
|
|
| 10230054
| 47
| | Red | Green | Blue
| | z | | 19.15
| | znorm | | 14.97
| | sky | 14.3 | 14.2 | 14.2
| | S/N | 16.4 | 26.6 | 28.8
| | S/N(c) | 14.9 | 24.8 | 27.1
| | SN(E/C) | 0.38
|
|
|
|
|
|
|
| 10230055
| 47
| | Red | Green | Blue
| | z | | 19.15
| | znorm | | 14.97
| | sky | 14.4 | 14.2 | 14.3
| | S/N | 16.1 | 26.4 | 29.1
| | S/N(c) | 14.7 | 24.8 | 27.3
| | SN(E/C) | 0.38
|
|
|
|
|
|
|
| 10230056
| 47
| | Red | Green | Blue
| | z | | 19.16
| | znorm | | 14.98
| | sky | 14.2 | 14.2 | 14.2
| | S/N | 16.3 | 26.8 | 29.0
| | S/N(c) | 14.9 | 25.0 | 27.3
| | SN(E/C) | 0.39
|
|
|
|
|
|
|