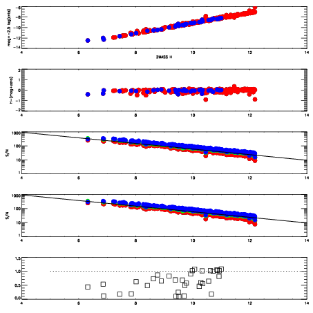
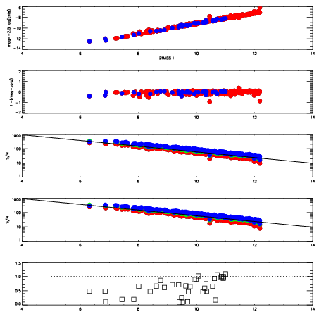
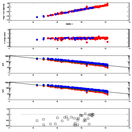
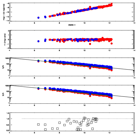
Left plots: red are targets, blue are telluric. Observed mags are calculated from median value of green chip. Zeropoint gives overall throughput: bigger number is more throughput.
First spatial plots: circles are objects, squares are tellurics, crosses are sky fibers. Colors give deviation of observed mag from expected 2MASS mag using the median zeropoint; red is brighter
Second spatial plots: circles are sky fibers. Colors give sky line brightness relative to plate median sky line brightness
FrameNreadsZeropointsMag plots Spatial mag deviation Spatial sky 16325A emission deviations (filled: sky, open: star) Spatial sky continuum emission Spatial sky telluric CO2 absorption deviations (filled: H < 10)
7050059 47
RedGreenBlue
z19.18
znorm15.00
sky 14.4 14.2 13.9
S/N 18.0 27.1 30.2
S/N(c) 16.1 25.8 29.0
SN(E/C) 0.65
7050060 47
RedGreenBlue
z19.17
znorm14.99
sky 14.5 14.2 14.1
S/N 17.9 27.5 30.3
S/N(c) 16.0 26.1 29.3
SN(E/C) 0.68
7050061 47
RedGreenBlue
z19.20
znorm15.01
sky 14.5 14.4 14.2
S/N 17.8 27.8 30.6
S/N(c) 15.9 26.5 29.4
SN(E/C) 0.65
7050062 47
RedGreenBlue
z19.19
znorm15.01
sky 14.5 14.3 14.2
S/N 18.1 27.9 30.7
S/N(c) 16.2 26.4 29.4
SN(E/C) 0.64