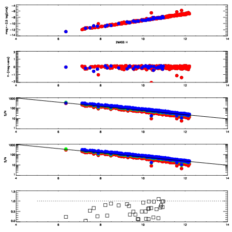
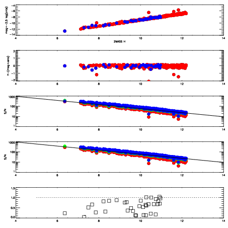
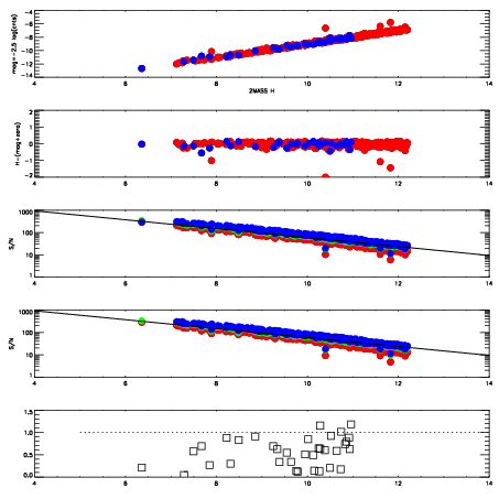
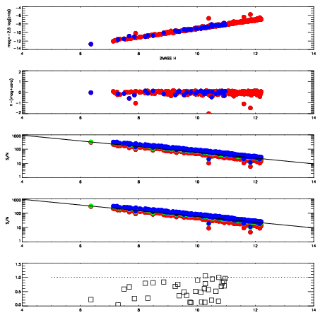
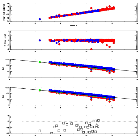
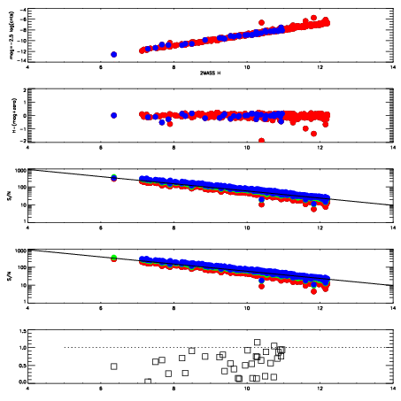
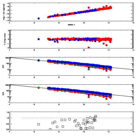
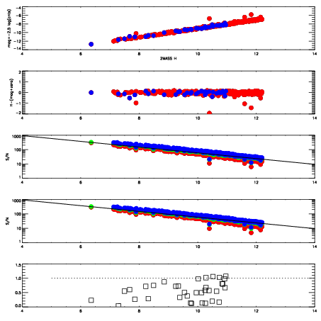
| Frame | Nreads | Zeropoints | Mag plots
| Spatial mag deviation
| Spatial sky 16325A emission deviations (filled: sky, open: star)
| Spatial sky continuum emission
| Spatial sky telluric CO2 absorption deviations (filled: H < 10)
|
| 7000098
| 47
| | Red | Green | Blue
| | z | | 18.93
| | znorm | | 14.75
| | sky | 14.1 | 13.7 | 13.6
| | S/N | 14.4 | 21.8 | 24.5
| | S/N(c) | 12.5 | 20.0 | 22.5
| | SN(E/C) | 0.64
|
|
|
|
|
|
|
| 7000099
| 47
| | Red | Green | Blue
| | z | | 18.94
| | znorm | | 14.76
| | sky | 14.3 | 13.9 | 14.0
| | S/N | 14.4 | 22.3 | 25.4
| | S/N(c) | 12.5 | 20.4 | 23.4
| | SN(E/C) | 0.63
|
|
|
|
|
|
|
| 7000100
| 47
| | Red | Green | Blue
| | z | | 19.00
| | znorm | | 14.82
| | sky | 14.2 | 13.9 | 14.0
| | S/N | 15.0 | 23.0 | 26.2
| | S/N(c) | 12.8 | 21.2 | 24.5
| | SN(E/C) | 0.62
|
|
|
|
|
|
|
| 7000101
| 47
| | Red | Green | Blue
| | z | | 18.99
| | znorm | | 14.81
| | sky | 14.1 | 13.9 | 13.9
| | S/N | 14.7 | 22.8 | 26.0
| | S/N(c) | 12.6 | 21.0 | 24.3
| | SN(E/C) | 0.63
|
|
|
|
|
|
|
| 7000102
| 47
| | Red | Green | Blue
| | z | | 19.04
| | znorm | | 14.86
| | sky | 13.9 | 13.9 | 13.9
| | S/N | 15.2 | 23.9 | 26.9
| | S/N(c) | 13.2 | 21.8 | 25.2
| | SN(E/C) | 0.62
|
|
|
|
|
|
|
| 7000103
| 47
| | Red | Green | Blue
| | z | | 19.04
| | znorm | | 14.86
| | sky | 14.1 | 13.9 | 14.0
| | S/N | 15.4 | 23.7 | 26.5
| | S/N(c) | 13.0 | 21.6 | 24.7
| | SN(E/C) | 0.57
|
|
|
|
|
|
|
| 7000104
| 47
| | Red | Green | Blue
| | z | | 19.08
| | znorm | | 14.90
| | sky | 14.2 | 13.9 | 13.9
| | S/N | 15.6 | 24.3 | 26.9
| | S/N(c) | 13.4 | 22.3 | 25.3
| | SN(E/C) | 0.57
|
|
|
|
|
|
|
| 7000105
| 47
| | Red | Green | Blue
| | z | | 19.11
| | znorm | | 14.93
| | sky | 14.2 | 13.9 | 14.0
| | S/N | 15.9 | 24.5 | 27.1
| | S/N(c) | 13.7 | 22.4 | 25.4
| | SN(E/C) | 0.59
|
|
|
|
|
|
|
| 7000106
| 47
| | Red | Green | Blue
| | z | | 19.05
| | znorm | | 14.87
| | sky | 14.0 | 13.9 | 13.8
| | S/N | 14.9 | 23.6 | 26.2
| | S/N(c) | 12.8 | 21.5 | 24.5
| | SN(E/C) | 0.60
|
|
|
|
|
|
|
| 7000107
| 47
| | Red | Green | Blue
| | z | | 19.00
| | znorm | | 14.82
| | sky | 14.0 | 13.9 | 13.8
| | S/N | 14.5 | 22.8 | 25.4
| | S/N(c) | 12.1 | 20.7 | 23.6
| | SN(E/C) | 0.63
|
|
|
|
|
|
|
| 7000108
| 47
| | Red | Green | Blue
| | z | | 19.00
| | znorm | | 14.82
| | sky | 14.0 | 13.8 | 13.8
| | S/N | 14.5 | 22.9 | 25.4
| | S/N(c) | 12.1 | 20.6 | 23.1
| | SN(E/C) | 0.62
|
|
|
|
|
|
|
| 7000109
| 47
| | Red | Green | Blue
| | z | | 18.98
| | znorm | | 14.80
| | sky | 13.7 | 13.5 | 13.4
| | S/N | 14.0 | 22.1 | 24.7
| | S/N(c) | 11.9 | 20.1 | 22.7
| | SN(E/C) | 0.64
|
|
|
|
|
|
|