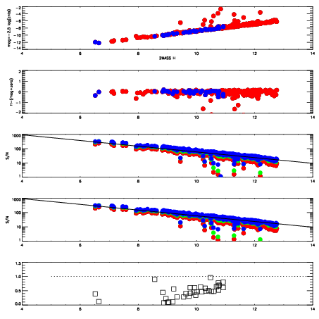
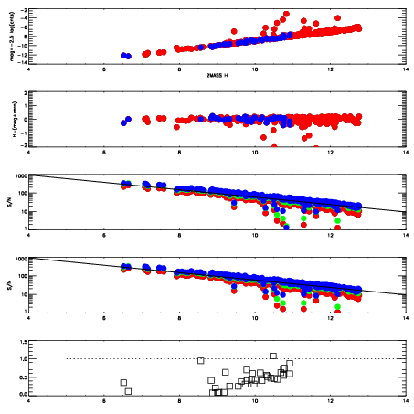
| Frame | Nreads | Zeropoints | Mag plots
| Spatial mag deviation
| Spatial sky 16325A emission deviations (filled: sky, open: star)
| Spatial sky continuum emission
| Spatial sky telluric CO2 absorption deviations (filled: H < 10)
|
| 7030071
| 47
| | Red | Green | Blue
| | z | | 18.77
| | znorm | | 14.59
| | sky | 15.0 | 14.5 | 14.7
| | S/N | 13.1 | 21.5 | 23.8
| | S/N(c) | 11.4 | 19.9 | 22.3
| | SN(E/C) | 0.48
|
|
|
|
|
|
|
| 7030072
| 47
| | Red | Green | Blue
| | z | | 18.93
| | znorm | | 14.75
| | sky | 14.8 | 14.6 | 14.8
| | S/N | 14.5 | 23.6 | 25.6
| | S/N(c) | 12.8 | 21.7 | 23.8
| | SN(E/C) | 0.44
|
|
|
|
|
|
|
| 7030073
| 47
| | Red | Green | Blue
| | z | | 18.81
| | znorm | | 14.63
| | sky | 14.8 | 14.6 | 14.9
| | S/N | 13.3 | 21.9 | 23.9
| | S/N(c) | 11.5 | 20.2 | 22.1
| | SN(E/C) | 0.49
|
|
|
|
|
|
|
| 7030074
| 47
| | Red | Green | Blue
| | z | | 18.92
| | znorm | | 14.73
| | sky | 14.6 | 14.4 | 14.7
| | S/N | 14.5 | 23.5 | 25.1
| | S/N(c) | 12.6 | 21.1 | 23.4
| | SN(E/C) | 0.44
|
|
|
|
|
|
|
| 7030075
| 47
| | Red | Green | Blue
| | z | | 18.88
| | znorm | | 14.70
| | sky | 14.5 | 14.4 | 14.7
| | S/N | 14.1 | 22.8 | 24.7
| | S/N(c) | 12.4 | 20.9 | 22.9
| | SN(E/C) | 0.46
|
|
|
|
|
|
|
| 7030076
| 47
| | Red | Green | Blue
| | z | | 18.74
| | znorm | | 14.56
| | sky | 14.3 | 14.3 | 14.6
| | S/N | 12.7 | 21.2 | 22.6
| | S/N(c) | 11.0 | 19.2 | 21.0
| | SN(E/C) | 0.49
|
|
|
|
|
|
|
| 7030077
| 47
| | Red | Green | Blue
| | z | | 18.82
| | znorm | | 14.64
| | sky | 14.3 | 14.3 | 14.5
| | S/N | 13.5 | 21.9 | 23.7
| | S/N(c) | 11.7 | 20.0 | 22.2
| | SN(E/C) | 0.48
|
|
|
|
|
|
|
| 7030078
| 47
| | Red | Green | Blue
| | z | | 18.76
| | znorm | | 14.58
| | sky | 14.4 | 14.3 | 14.6
| | S/N | 12.6 | 21.2 | 22.7
| | S/N(c) | 10.9 | 19.4 | 21.1
| | SN(E/C) | 0.48
|
|
|
|
|
|
|