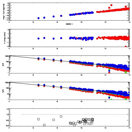
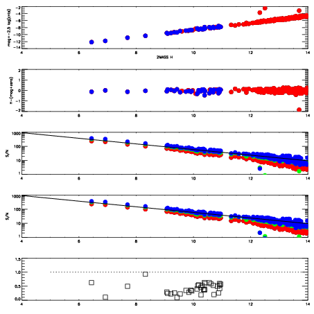
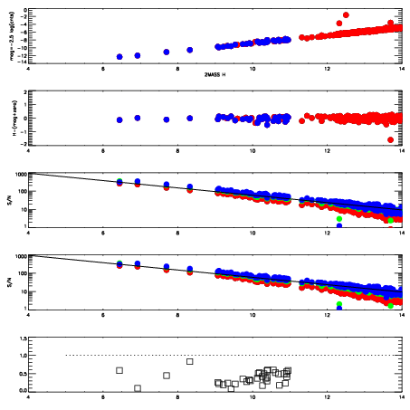
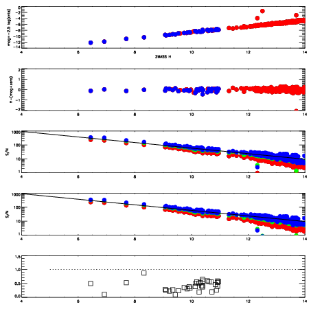
| Frame | Nreads | Zeropoints | Mag plots
| Spatial mag deviation
| Spatial sky 16325A emission deviations (filled: sky, open: star)
| Spatial sky continuum emission
| Spatial sky telluric CO2 absorption deviations (filled: H < 10)
|
| 7610059
| 47
| | Red | Green | Blue
| | z | | 18.75
| | znorm | | 14.57
| | sky | 15.8 | 15.4 | 14.9
| | S/N | 13.3 | 22.4 | 24.6
| | S/N(c) | 12.0 | 21.4 | 23.4
| | SN(E/C) | 0.39
|
|
|
|
|
|
|
| 7610060
| 47
| | Red | Green | Blue
| | z | | 18.70
| | znorm | | 14.52
| | sky | 16.2 | 15.0 | 15.4
| | S/N | 12.5 | 22.0 | 24.6
| | S/N(c) | 11.4 | 21.1 | 23.0
| | SN(E/C) | 0.39
|
|
|
|
|
|
|
| 7610061
| 47
| | Red | Green | Blue
| | z | | 18.69
| | znorm | | 14.51
| | sky | 15.8 | 15.2 | 15.3
| | S/N | 12.9 | 21.9 | 24.5
| | S/N(c) | 11.6 | 21.3 | 23.0
| | SN(E/C) | 0.41
|
|
|
|
|
|
|
| 7610062
| 47
| | Red | Green | Blue
| | z | | 18.70
| | znorm | | 14.52
| | sky | 15.8 | 15.3 | 15.7
| | S/N | 12.6 | 21.8 | 24.4
| | S/N(c) | 11.3 | 21.1 | 22.9
| | SN(E/C) | 0.40
|
|
|
|
|
|
|
| 7610063
| 47
| | Red | Green | Blue
| | z | | 18.78
| | znorm | | 14.60
| | sky | 15.7 | 15.4 | 15.5
| | S/N | 13.3 | 22.9 | 25.7
| | S/N(c) | 12.1 | 22.0 | 24.2
| | SN(E/C) | 0.40
|
|
|
|
|
|
|
| 7610064
| 47
| | Red | Green | Blue
| | z | | 18.74
| | znorm | | 14.56
| | sky | 16.0 | 15.4 | 15.5
| | S/N | 13.1 | 22.8 | 25.2
| | S/N(c) | 11.9 | 21.8 | 23.7
| | SN(E/C) | 0.38
|
|
|
|
|
|
|
| 7610065
| 47
| | Red | Green | Blue
| | z | | 18.87
| | znorm | | 14.69
| | sky | 15.1 | 15.3 | 15.3
| | S/N | 14.6 | 24.5 | 27.2
| | S/N(c) | 13.3 | 23.6 | 25.7
| | SN(E/C) | 0.40
|
|
|
|
|
|
|
| 7610066
| 47
| | Red | Green | Blue
| | z | | 18.83
| | znorm | | 14.65
| | sky | 15.8 | 15.4 | 15.3
| | S/N | 14.0 | 23.8 | 26.4
| | S/N(c) | 12.7 | 22.9 | 24.8
| | SN(E/C) | 0.39
|
|
|
|
|
|
|