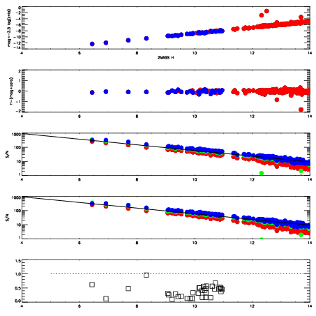
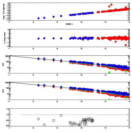
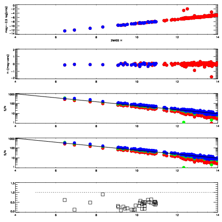
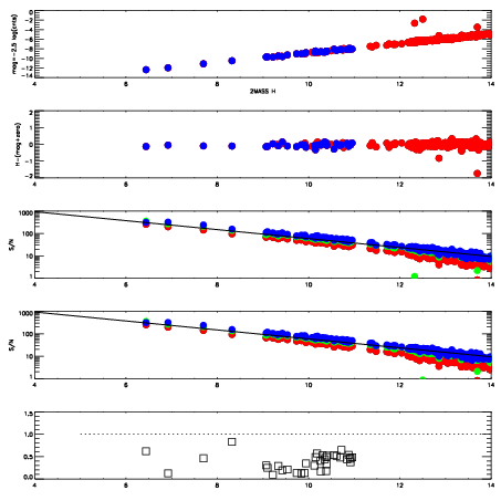
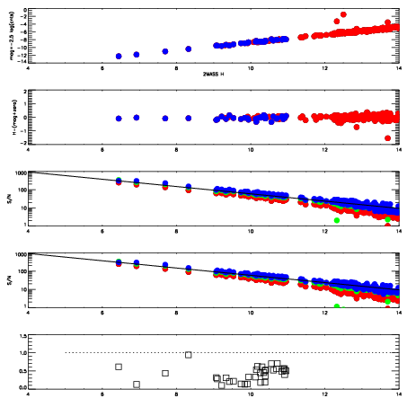
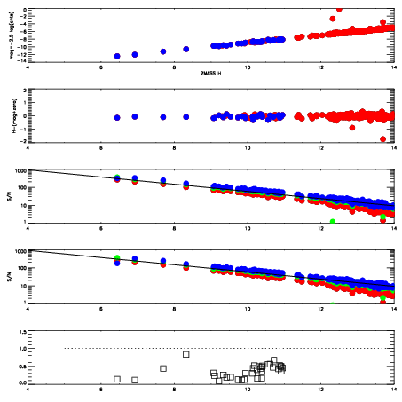
| Frame | Nreads | Zeropoints | Mag plots
| Spatial mag deviation
| Spatial sky 16325A emission deviations (filled: sky, open: star)
| Spatial sky continuum emission
| Spatial sky telluric CO2 absorption deviations (filled: H < 10)
|
| 7850070
| 47
| | Red | Green | Blue
| | z | | 18.78
| | znorm | | 14.60
| | sky | 16.4 | 15.1 | 14.9
| | S/N | 13.8 | 22.1 | 26.4
| | S/N(c) | 12.5 | 21.6 | 25.2
| | SN(E/C) | 0.44
|
|
|
|
|
|
|
| 7850071
| 47
| | Red | Green | Blue
| | z | | 18.86
| | znorm | | 14.68
| | sky | 15.6 | 15.1 | 15.7
| | S/N | 14.4 | 23.1 | 27.1
| | S/N(c) | 13.1 | 22.5 | 26.3
| | SN(E/C) | 0.42
|
|
|
|
|
|
|
| 7850072
| 47
| | Red | Green | Blue
| | z | | 18.88
| | znorm | | 14.70
| | sky | 15.7 | 15.2 | 15.6
| | S/N | 14.4 | 23.4 | 26.8
| | S/N(c) | 13.1 | 22.8 | 26.0
| | SN(E/C) | 0.44
|
|
|
|
|
|
|
| 7850073
| 47
| | Red | Green | Blue
| | z | | 18.88
| | znorm | | 14.70
| | sky | 15.7 | 15.2 | 15.5
| | S/N | 14.4 | 23.4 | 26.6
| | S/N(c) | 13.1 | 22.7 | 25.8
| | SN(E/C) | 0.44
|
|
|
|
|
|
|
| 7850074
| 47
| | Red | Green | Blue
| | z | | 18.92
| | znorm | | 14.74
| | sky | 15.5 | 15.3 | 15.5
| | S/N | 15.1 | 24.3 | 27.0
| | S/N(c) | 13.6 | 23.5 | 26.2
| | SN(E/C) | 0.42
|
|
|
|
|
|
|
| 7850075
| 47
| | Red | Green | Blue
| | z | | 19.00
| | znorm | | 14.82
| | sky | 15.8 | 15.4 | 15.4
| | S/N | 15.7 | 24.9 | 27.8
| | S/N(c) | 14.3 | 24.2 | 27.1
| | SN(E/C) | 0.40
|
|
|
|
|
|
|
| 7850076
| 47
| | Red | Green | Blue
| | z | | 18.91
| | znorm | | 14.73
| | sky | 15.2 | 15.2 | 15.5
| | S/N | 14.8 | 23.9 | 26.7
| | S/N(c) | 13.2 | 23.2 | 25.9
| | SN(E/C) | 0.44
|
|
|
|
|
|
|
| 7850077
| 47
| | Red | Green | Blue
| | z | | 18.92
| | znorm | | 14.74
| | sky | 15.3 | 15.3 | 15.4
| | S/N | 14.7 | 23.9 | 26.4
| | S/N(c) | 13.3 | 23.1 | 25.8
| | SN(E/C) | 0.41
|
|
|
|
|
|
|