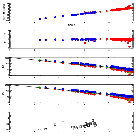
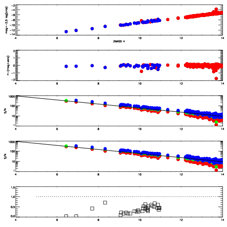
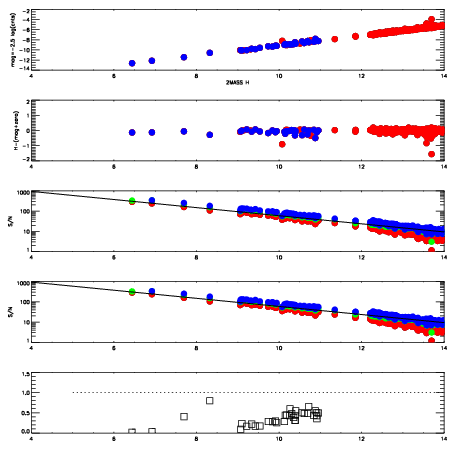
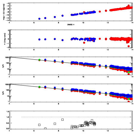
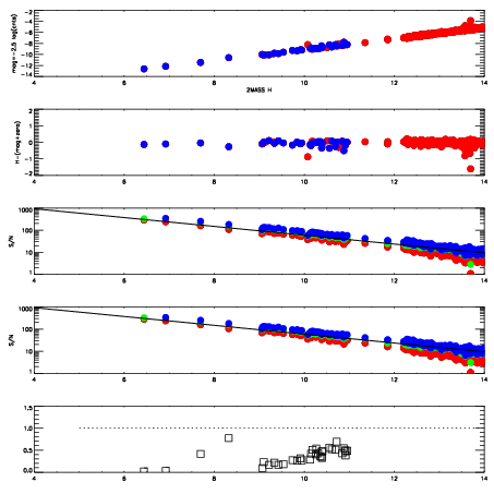
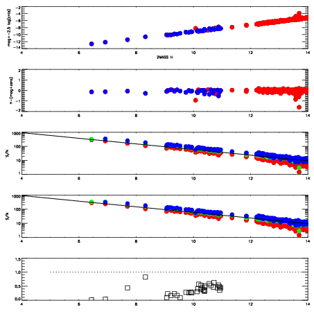
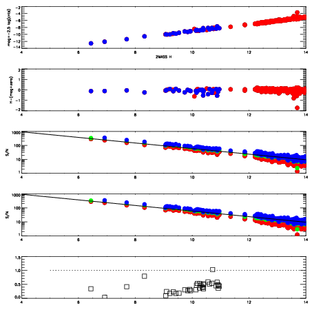
| Frame | Nreads | Zeropoints | Mag plots
| Spatial mag deviation
| Spatial sky 16325A emission deviations (filled: sky, open: star)
| Spatial sky continuum emission
| Spatial sky telluric CO2 absorption deviations (filled: H < 10)
|
| 7910038
| 47
| | Red | Green | Blue
| | z | | 19.12
| | znorm | | 14.94
| | sky | 15.8 | 14.7 | 14.8
| | S/N | 17.0 | 26.3 | 30.8
| | S/N(c) | 15.3 | 25.3 | 30.1
| | SN(E/C) | 0.40
|
|
|
|
|
|
|
| 7910039
| 47
| | Red | Green | Blue
| | z | | 19.15
| | znorm | | 14.97
| | sky | 15.4 | 14.7 | 15.2
| | S/N | 17.1 | 26.6 | 30.0
| | S/N(c) | 15.4 | 25.4 | 29.1
| | SN(E/C) | 0.41
|
|
|
|
|
|
|
| 7910040
| 47
| | Red | Green | Blue
| | z | | 19.17
| | znorm | | 14.99
| | sky | 15.3 | 14.9 | 15.3
| | S/N | 17.1 | 26.9 | 29.2
| | S/N(c) | 15.4 | 25.7 | 28.3
| | SN(E/C) | 0.40
|
|
|
|
|
|
|
| 7910041
| 47
| | Red | Green | Blue
| | z | | 19.13
| | znorm | | 14.95
| | sky | 15.2 | 14.8 | 15.3
| | S/N | 16.9 | 26.4 | 28.5
| | S/N(c) | 15.3 | 25.2 | 27.5
| | SN(E/C) | 0.41
|
|
|
|
|
|
|
| 7910042
| 47
| | Red | Green | Blue
| | z | | 19.20
| | znorm | | 15.02
| | sky | 15.1 | 15.0 | 15.2
| | S/N | 17.6 | 27.4 | 29.2
| | S/N(c) | 15.8 | 26.1 | 28.1
| | SN(E/C) | 0.38
|
|
|
|
|
|
|
| 7910043
| 47
| | Red | Green | Blue
| | z | | 19.20
| | znorm | | 15.02
| | sky | 15.2 | 14.9 | 15.2
| | S/N | 17.6 | 27.4 | 29.2
| | S/N(c) | 15.6 | 26.0 | 28.1
| | SN(E/C) | 0.40
|
|
|
|
|
|
|
| 7910044
| 47
| | Red | Green | Blue
| | z | | 19.18
| | znorm | | 15.00
| | sky | 15.4 | 15.0 | 15.4
| | S/N | 17.2 | 27.3 | 28.8
| | S/N(c) | 15.5 | 25.8 | 27.6
| | SN(E/C) | 0.40
|
|
|
|
|
|
|
| 7910045
| 47
| | Red | Green | Blue
| | z | | 19.20
| | znorm | | 15.02
| | sky | 15.0 | 15.1 | 15.1
| | S/N | 17.6 | 27.6 | 29.1
| | S/N(c) | 15.8 | 26.0 | 28.1
| | SN(E/C) | 0.41
|
|
|
|
|
|
|