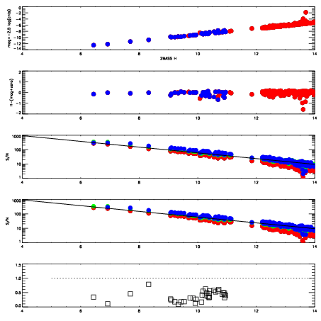
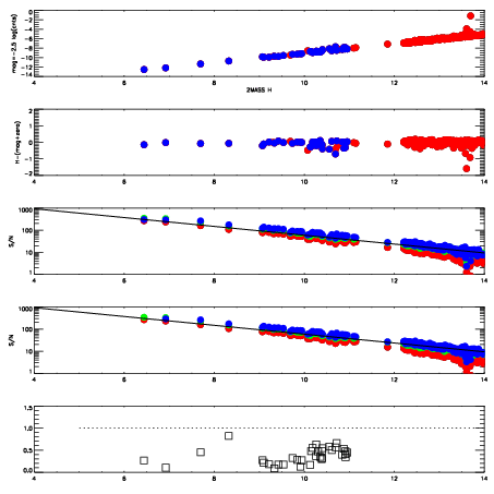
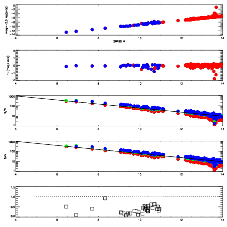
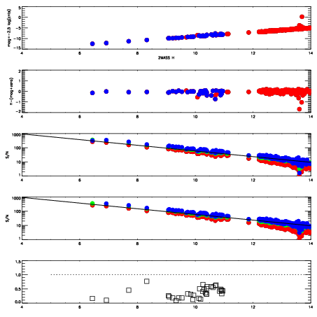
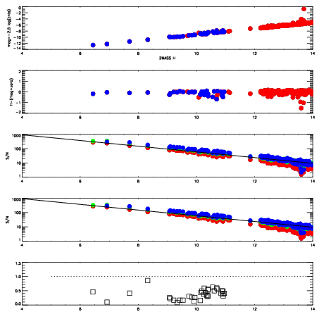
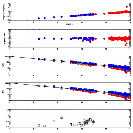
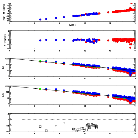
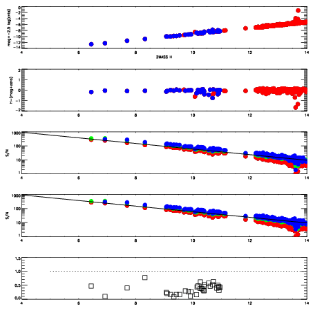
| Frame | Nreads | Zeropoints | Mag plots
| Spatial mag deviation
| Spatial sky 16325A emission deviations (filled: sky, open: star)
| Spatial sky continuum emission
| Spatial sky telluric CO2 absorption deviations (filled: H < 10)
|
| 7920070
| 47
| | Red | Green | Blue
| | z | | 19.04
| | znorm | | 14.86
| | sky | 15.4 | 14.5 | 14.3
| | S/N | 14.5 | 23.2 | 23.7
| | S/N(c) | 13.3 | 22.3 | 22.7
| | SN(E/C) | 0.39
|
|
|
|
|
|
|
| 7920071
| 47
| | Red | Green | Blue
| | z | | 19.07
| | znorm | | 14.89
| | sky | 15.2 | 15.0 | 14.9
| | S/N | 14.8 | 23.3 | 24.5
| | S/N(c) | 13.4 | 22.3 | 23.4
| | SN(E/C) | 0.36
|
|
|
|
|
|
|
| 7920072
| 47
| | Red | Green | Blue
| | z | | 19.19
| | znorm | | 15.01
| | sky | 15.2 | 15.0 | 14.9
| | S/N | 15.3 | 24.6 | 25.7
| | S/N(c) | 14.0 | 23.4 | 24.6
| | SN(E/C) | 0.39
|
|
|
|
|
|
|
| 7920073
| 47
| | Red | Green | Blue
| | z | | 19.20
| | znorm | | 15.02
| | sky | 15.3 | 15.1 | 14.9
| | S/N | 15.3 | 24.3 | 25.4
| | S/N(c) | 14.2 | 23.2 | 24.5
| | SN(E/C) | 0.39
|
|
|
|
|
|
|
| 7920074
| 47
| | Red | Green | Blue
| | z | | 19.11
| | znorm | | 14.93
| | sky | 15.3 | 15.1 | 15.0
| | S/N | 14.4 | 23.2 | 24.0
| | S/N(c) | 13.3 | 22.1 | 23.1
| | SN(E/C) | 0.38
|
|
|
|
|
|
|
| 7920075
| 47
| | Red | Green | Blue
| | z | | 19.12
| | znorm | | 14.94
| | sky | 15.3 | 15.1 | 14.7
| | S/N | 14.4 | 23.0 | 24.2
| | S/N(c) | 13.3 | 22.0 | 22.9
| | SN(E/C) | 0.40
|
|
|
|
|
|
|
| 7920076
| 47
| | Red | Green | Blue
| | z | | 19.10
| | znorm | | 14.92
| | sky | 15.3 | 14.9 | 15.1
| | S/N | 14.1 | 22.9 | 23.9
| | S/N(c) | 13.0 | 21.8 | 22.8
| | SN(E/C) | 0.36
|
|
|
|
|
|
|
| 7920077
| 47
| | Red | Green | Blue
| | z | | 19.19
| | znorm | | 15.01
| | sky | 15.4 | 15.1 | 14.7
| | S/N | 15.0 | 23.7 | 24.9
| | S/N(c) | 13.8 | 22.5 | 24.0
| | SN(E/C) | 0.41
|
|
|
|
|
|
|
| 7920078
| 47
| | Red | Green | Blue
| | z | | 19.05
| | znorm | | 14.87
| | sky | 14.7 | 14.8 | 14.7
| | S/N | 13.4 | 21.9 | 22.5
| | S/N(c) | 12.3 | 20.8 | 21.8
| | SN(E/C) | 0.38
|
|
|
|
|
|
|
| 7920079
| 47
| | Red | Green | Blue
| | z | | 19.19
| | znorm | | 15.01
| | sky | 15.1 | 15.1 | 14.9
| | S/N | 14.4 | 23.3 | 23.9
| | S/N(c) | 13.2 | 22.2 | 23.2
| | SN(E/C) | 0.38
|
|
|
|
|
|
|
| 7920080
| 47
| | Red | Green | Blue
| | z | | 19.16
| | znorm | | 14.98
| | sky | 15.0 | 15.0 | 14.9
| | S/N | 14.3 | 23.2 | 23.9
| | S/N(c) | 13.2 | 22.1 | 23.0
| | SN(E/C) | 0.40
|
|
|
|
|
|
|
| 7920081
| 47
| | Red | Green | Blue
| | z | | 19.11
| | znorm | | 14.93
| | sky | 15.1 | 15.3 | 14.8
| | S/N | 13.9 | 22.2 | 22.9
| | S/N(c) | 12.7 | 21.1 | 21.9
| | SN(E/C) | 0.39
|
|
|
|
|
|
|