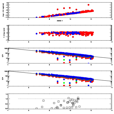
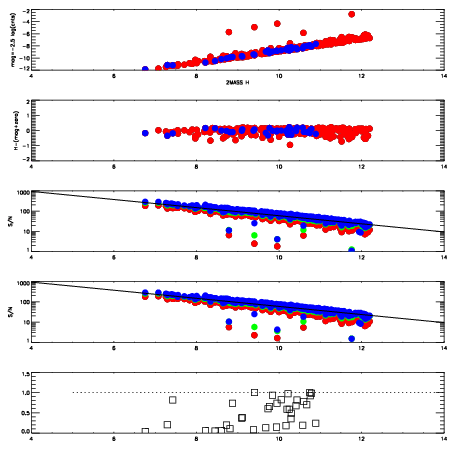
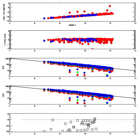
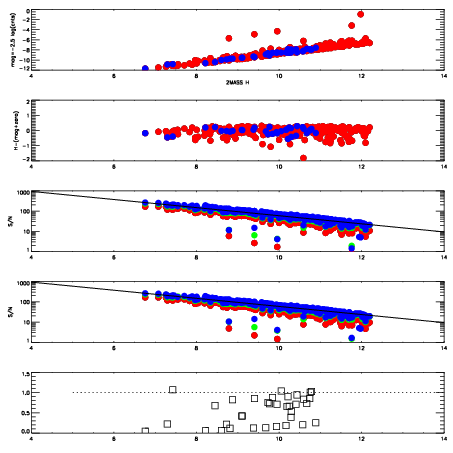
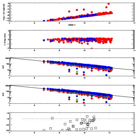
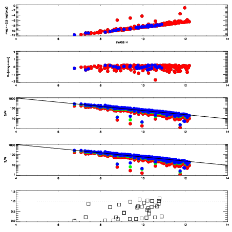
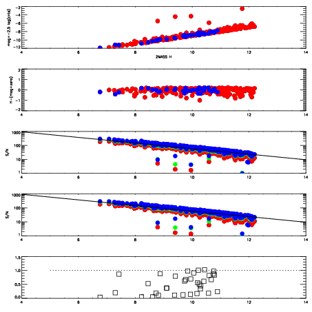
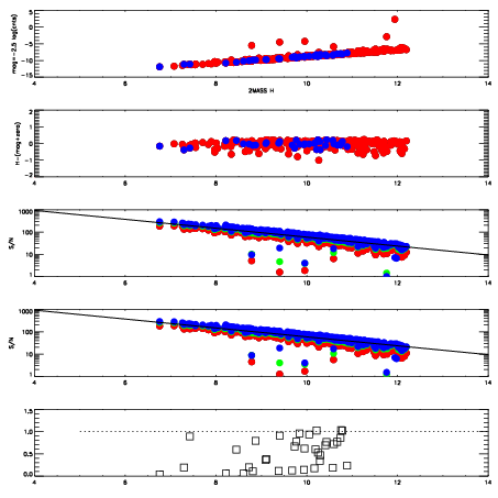
| Frame | Nreads | Zeropoints | Mag plots
| Spatial mag deviation
| Spatial sky 16325A emission deviations (filled: sky, open: star)
| Spatial sky continuum emission
| Spatial sky telluric CO2 absorption deviations (filled: H < 10)
|
| 7610048
| 47
| | Red | Green | Blue
| | z | | 18.79
| | znorm | | 14.61
| | sky | 15.2 | 14.7 | 14.7
| | S/N | 12.0 | 21.3 | 22.6
| | S/N(c) | 10.8 | 20.0 | 21.2
| | SN(E/C) | 0.59
|
|
|
|
|
|
|
| 7610049
| 47
| | Red | Green | Blue
| | z | | 18.86
| | znorm | | 14.68
| | sky | 14.9 | 14.7 | 14.9
| | S/N | 12.2 | 21.8 | 23.4
| | S/N(c) | 11.0 | 20.5 | 22.0
| | SN(E/C) | 0.58
|
|
|
|
|
|
|
| 7610050
| 47
| | Red | Green | Blue
| | z | | 18.81
| | znorm | | 14.63
| | sky | 14.8 | 14.8 | 14.9
| | S/N | 12.5 | 21.6 | 23.2
| | S/N(c) | 11.1 | 20.2 | 21.7
| | SN(E/C) | 0.59
|
|
|
|
|
|
|
| 7610051
| 47
| | Red | Green | Blue
| | z | | 18.86
| | znorm | | 14.68
| | sky | 15.1 | 14.7 | 14.9
| | S/N | 12.5 | 22.3 | 23.6
| | S/N(c) | 11.2 | 20.7 | 22.0
| | SN(E/C) | 0.53
|
|
|
|
|
|
|
| 7610052
| 47
| | Red | Green | Blue
| | z | | 18.72
| | znorm | | 14.54
| | sky | 14.8 | 14.9 | 14.9
| | S/N | 11.8 | 20.5 | 21.8
| | S/N(c) | 10.7 | 19.4 | 20.5
| | SN(E/C) | 0.56
|
|
|
|
|
|
|
| 7610053
| 47
| | Red | Green | Blue
| | z | | 18.71
| | znorm | | 14.53
| | sky | 14.7 | 14.9 | 15.0
| | S/N | 11.1 | 20.5 | 21.6
| | S/N(c) | 10.1 | 19.2 | 20.2
| | SN(E/C) | 0.61
|
|
|
|
|
|
|
| 7610054
| 47
| | Red | Green | Blue
| | z | | 18.55
| | znorm | | 14.37
| | sky | 15.2 | 14.9 | 15.0
| | S/N | 10.0 | 18.6 | 19.4
| | S/N(c) | 9.0 | 17.4 | 18.2
| | SN(E/C) | 0.65
|
|
|
|
|
|
|
| 7610055
| 47
| | Red | Green | Blue
| | z | | 18.62
| | znorm | | 14.43
| | sky | 15.2 | 14.9 | 15.1
| | S/N | 10.8 | 19.5 | 20.6
| | S/N(c) | 9.4 | 17.9 | 19.4
| | SN(E/C) | 0.66
|
|
|
|
|
|
|