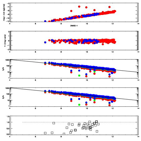
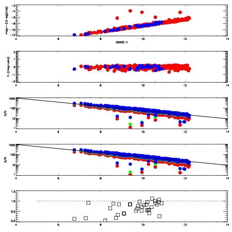
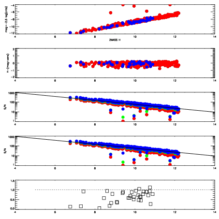
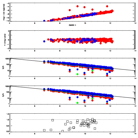
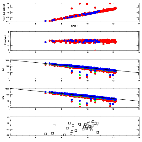
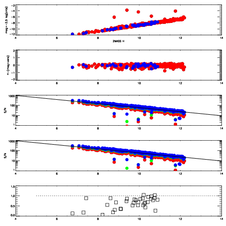
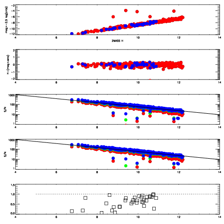
| Frame | Nreads | Zeropoints | Mag plots
| Spatial mag deviation
| Spatial sky 16325A emission deviations (filled: sky, open: star)
| Spatial sky continuum emission
| Spatial sky telluric CO2 absorption deviations (filled: H < 10)
|
| 7850037
| 47
| | Red | Green | Blue
| | z | | 18.82
| | znorm | | 14.64
| | sky | 14.7 | 14.1 | 14.1
| | S/N | 13.0 | 21.7 | 24.6
| | S/N(c) | 11.5 | 19.9 | 23.7
| | SN(E/C) | 0.69
|
|
|
|
|
|
|
| 7850038
| 47
| | Red | Green | Blue
| | z | | 18.84
| | znorm | | 14.66
| | sky | 14.6 | 14.4 | 14.6
| | S/N | 13.1 | 22.1 | 25.0
| | S/N(c) | 11.5 | 20.9 | 23.6
| | SN(E/C) | 0.66
|
|
|
|
|
|
|
| 7850039
| 47
| | Red | Green | Blue
| | z | | 18.86
| | znorm | | 14.68
| | sky | 14.5 | 14.3 | 14.5
| | S/N | 13.8 | 23.1 | 25.3
| | S/N(c) | 12.2 | 21.2 | 24.1
| | SN(E/C) | 0.70
|
|
|
|
|
|
|
| 7850040
| 47
| | Red | Green | Blue
| | z | | 18.79
| | znorm | | 14.61
| | sky | 14.5 | 14.4 | 14.6
| | S/N | 12.7 | 21.9 | 24.3
| | S/N(c) | 11.3 | 20.0 | 23.1
| | SN(E/C) | 0.68
|
|
|
|
|
|
|
| 7850041
| 47
| | Red | Green | Blue
| | z | | 18.73
| | znorm | | 14.55
| | sky | 14.8 | 14.4 | 14.5
| | S/N | 12.2 | 21.3 | 23.2
| | S/N(c) | 10.6 | 20.2 | 21.9
| | SN(E/C) | 0.72
|
|
|
|
|
|
|
| 7850042
| 47
| | Red | Green | Blue
| | z | | 18.71
| | znorm | | 14.53
| | sky | 14.5 | 14.5 | 14.5
| | S/N | 12.4 | 21.5 | 22.9
| | S/N(c) | 10.8 | 19.9 | 21.7
| | SN(E/C) | 0.71
|
|
|
|
|
|
|
| 7850043
| 47
| | Red | Green | Blue
| | z | | 18.72
| | znorm | | 14.54
| | sky | 14.7 | 14.5 | 14.5
| | S/N | 12.9 | 21.8 | 23.5
| | S/N(c) | 11.2 | 20.3 | 22.4
| | SN(E/C) | 0.68
|
|
|
|
|
|
|
| 7850044
| 47
| | Red | Green | Blue
| | z | | 18.59
| | znorm | | 14.41
| | sky | 14.7 | 14.5 | 14.6
| | S/N | 11.3 | 20.2 | 22.1
| | S/N(c) | 10.1 | 19.0 | 20.9
| | SN(E/C) | 0.71
|
|
|
|
|
|
|