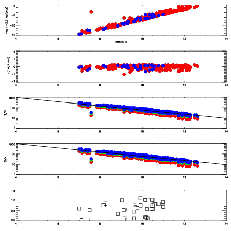
| Frame | Nreads | Zeropoints | Mag plots
| Spatial mag deviation
| Spatial sky 16325A emission deviations (filled: sky, open: star)
| Spatial sky continuum emission
| Spatial sky telluric CO2 absorption deviations (filled: H < 10)
|
| 7280094
| 47
| | Red | Green | Blue
| | z | | 18.85
| | znorm | | 14.67
| | sky | 14.6 | 14.3 | 14.1
| | S/N | 13.6 | 22.0 | 24.9
| | S/N(c) | 11.9 | 20.3 | 23.3
| | SN(E/C) | 0.57
|
|
|
|
|
|
|
| 7280095
| 47
| | Red | Green | Blue
| | z | | 18.90
| | znorm | | 14.72
| | sky | 14.5 | 14.3 | 14.2
| | S/N | 13.8 | 22.7 | 25.3
| | S/N(c) | 12.4 | 20.8 | 23.8
| | SN(E/C) | 0.58
|
|
|
|
|
|
|
| 7280096
| 47
| | Red | Green | Blue
| | z | | 18.85
| | znorm | | 14.67
| | sky | 14.5 | 14.3 | 14.3
| | S/N | 13.3 | 21.9 | 24.5
| | S/N(c) | 12.0 | 20.1 | 23.2
| | SN(E/C) | 0.54
|
|
|
|
|
|
|
| 7280097
| 47
| | Red | Green | Blue
| | z | | 18.87
| | znorm | | 14.69
| | sky | 14.6 | 14.4 | 14.3
| | S/N | 13.4 | 21.6 | 24.3
| | S/N(c) | 12.1 | 19.8 | 23.1
| | SN(E/C) | 0.64
|
|
|
|
|
|
|
| 7280098
| 47
| | Red | Green | Blue
| | z | | 18.86
| | znorm | | 14.68
| | sky | 15.0 | 14.3 | 14.3
| | S/N | 13.5 | 21.6 | 24.8
| | S/N(c) | 12.0 | 19.9 | 23.5
| | SN(E/C) | 0.59
|
|
|
|
|
|
|
| 7280099
| 47
| | Red | Green | Blue
| | z | | 18.75
| | znorm | | 14.57
| | sky | 14.6 | 14.4 | 14.3
| | S/N | 12.9 | 20.9 | 23.5
| | S/N(c) | 11.2 | 19.1 | 22.1
| | SN(E/C) | 0.60
|
|
|
|
|
|
|
| 7280100
| 47
| | Red | Green | Blue
| | z | | 18.75
| | znorm | | 14.57
| | sky | 14.4 | 14.4 | 14.4
| | S/N | 12.7 | 20.8 | 23.3
| | S/N(c) | 11.1 | 19.3 | 21.7
| | SN(E/C) | 0.60
|
|
|
|
|
|
|
| 7280101
| 47
| | Red | Green | Blue
| | z | | 18.78
| | znorm | | 14.60
| | sky | 14.7 | 14.4 | 14.3
| | S/N | 12.9 | 21.6 | 24.1
| | S/N(c) | 11.2 | 20.1 | 22.6
| | SN(E/C) | 0.61
|
|
|
|
|
|
|
| 7280102
| 47
| | Red | Green | Blue
| | z | | 18.68
| | znorm | | 14.50
| | sky | 14.6 | 14.4 | 14.3
| | S/N | 12.3 | 21.0 | 22.9
| | S/N(c) | 10.7 | 19.2 | 21.5
| | SN(E/C) | 0.63
|
|
|
|
|
|
|
| 7280103
| 47
| | Red | Green | Blue
| | z | | 18.54
| | znorm | | 14.36
| | sky | 15.0 | 14.5 | 14.4
| | S/N | 11.2 | 19.7 | 21.1
| | S/N(c) | 9.6 | 18.0 | 19.8
| | SN(E/C) | 0.65
|
|
|
|
|
|
|