PLATE: 6613 MJD: 56314 FIELD: 220+60

FrameCartsec zseeingNreadsDitherPixshiftZerosky continuumS/NS/N(c)
7520065 5 1.20 1.56 47 0.00 0.00 18.77 [15.03,14.42,14.32] [ 12.0, 20.0, 21.6] [ 10.2, 18.5, 19.9]
7520066 5 1.18 1.83 47 0.44 -0.00 18.80 [14.95,14.49,14.58] [ 12.1, 20.5, 22.0] [ 10.0, 18.5, 20.3]
7520067 5 1.16 1.65 47 0.44 -0.00 18.78 [14.76,14.54,14.72] [ 11.7, 20.1, 21.6] [ 9.8, 18.3, 19.9]
7520068 5 1.14 1.35 47 0.01 0.00 18.85 [15.09,14.58,14.68] [ 12.1, 21.0, 22.6] [ 10.3, 19.2, 20.9]
7520069 5 1.12 1.16 47 0.01 -0.00 18.87 [15.07,14.71,14.70] [ 12.0, 21.1, 22.2] [ 10.3, 19.3, 20.5]
7520070 5 1.10 1.39 47 0.43 -0.00 18.91 [14.98,14.60,14.65] [ 12.7, 21.5, 23.4] [ 10.6, 19.6, 21.5]
7520071 5 1.09 1.15 47 0.43 -0.00 18.96 [14.62,14.66,14.75] [ 12.9, 22.0, 23.6] [ 10.8, 20.1, 21.7]
7520072 5 1.08 1.36 47 0.01 -0.00 18.90 [14.99,14.77,14.77] [ 12.8, 21.5, 23.3] [ 10.5, 19.2, 21.4]

IPAIRNAMESHIFTNEWSHIFTS/N NAMESHIFTNEWSHIFTS/N
0 07520066 0.441 0.000 198.70 07520065 0.000 0.441 201.54
1 07520071 0.434 0.007 216.13 07520072 0.011 0.430 209.28
2 07520070 0.434 0.007 210.01 07520069 0.010 0.431 204.61
3 07520067 0.436 0.005 198.71 07520068 0.013 0.428 203.02

Visit (multiple exposure and dither combined) spectra

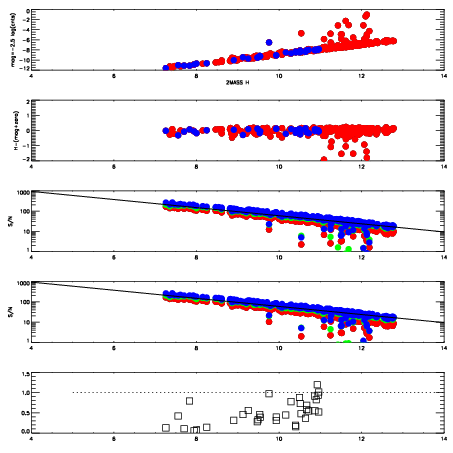
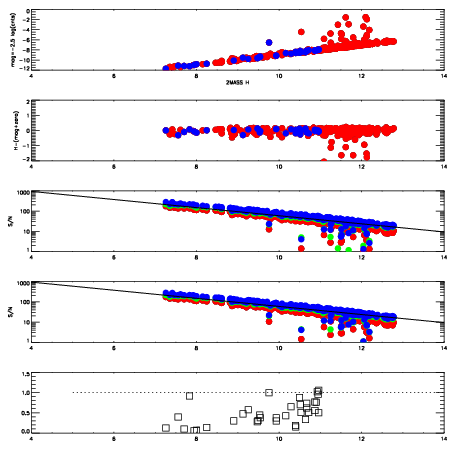
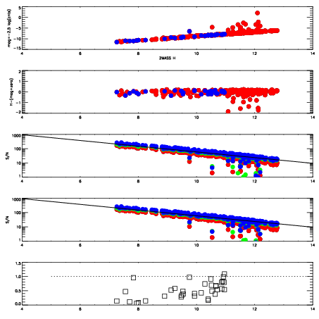
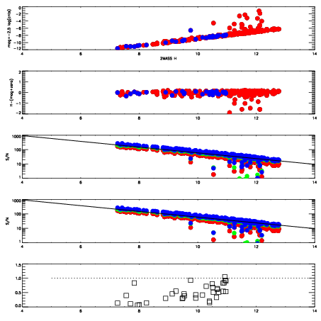
FrameZeropointsMag plots Spatial mag deviation Spatial sky 16325A emission deviations (filled: sky, open: star) Spatial sky continuum emission Spatial sky telluric CO2 absorption deviations (filled: H < 10)
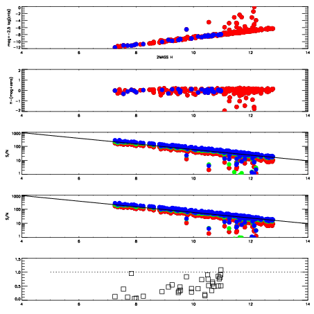
7520065
RedGreenBlue
z18.77
znorm14.59
sky 15.0 14.4 14.3
S/N 12.0 20.0 21.6
S/N(c) 10.2 18.5 19.9
SN(E/C) 0.51
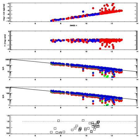
7520066
RedGreenBlue
z18.80
znorm14.62
sky 14.9 14.5 14.6
S/N 12.1 20.5 22.0
S/N(c) 10.0 18.5 20.3
SN(E/C) 0.48
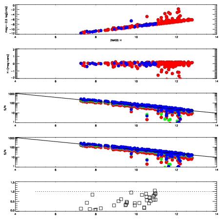
7520067
RedGreenBlue
z18.78
znorm14.60
sky 14.8 14.5 14.7
S/N 11.7 20.1 21.6
S/N(c) 9.8 18.3 19.9
SN(E/C) 0.45
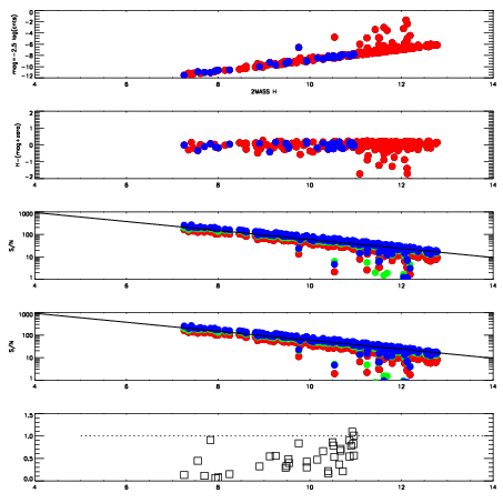
7520068
RedGreenBlue
z18.85
znorm14.67
sky 15.1 14.6 14.7
S/N 12.1 21.0 22.6
S/N(c) 10.3 19.2 20.9
SN(E/C) 0.49
7520069
RedGreenBlue
z18.87
znorm14.69
sky 15.1 14.7 14.7
S/N 12.0 21.1 22.2
S/N(c) 10.3 19.3 20.5
SN(E/C) 0.46
7520070
RedGreenBlue
z18.91
znorm14.73
sky 15.0 14.6 14.7
S/N 12.7 21.5 23.4
S/N(c) 10.6 19.6 21.5
SN(E/C) 0.47
7520071
RedGreenBlue
z18.96
znorm14.78
sky 14.6 14.7 14.8
S/N 12.9 22.0 23.6
S/N(c) 10.8 20.1 21.7
SN(E/C) 0.47
7520072
RedGreenBlue
z18.90
znorm14.72
sky 15.0 14.8 14.8
S/N 12.8 21.5 23.3
S/N(c) 10.5 19.2 21.4
SN(E/C) 0.45