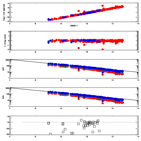
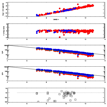
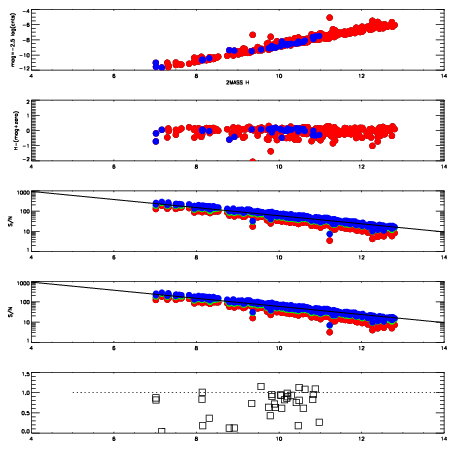
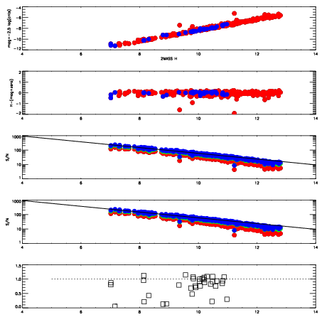
| Frame | Nreads | Zeropoints | Mag plots
| Spatial mag deviation
| Spatial sky 16325A emission deviations (filled: sky, open: star)
| Spatial sky continuum emission
| Spatial sky telluric CO2 absorption deviations (filled: H < 10)
|
| 7280081
| 47
| | Red | Green | Blue
| | z | | 18.53
| | znorm | | 14.35
| | sky | 15.2 | 14.3 | 14.4
| | S/N | 10.4 | 18.2 | 18.4
| | S/N(c) | 8.9 | 17.2 | 17.7
| | SN(E/C) | 0.85
|
|
|
|
|
|
|
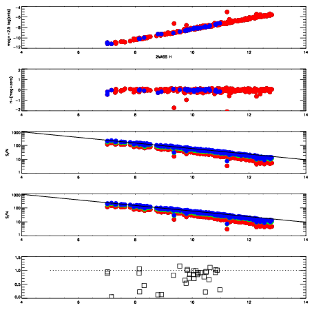
| 7280082
| 47
| | Red | Green | Blue
| | z | | 18.14
| | znorm | | 13.96
| | sky | 14.8 | 14.8 | 14.9
| | S/N | 7.9 | 14.3 | 14.7
| | S/N(c) | 6.9 | 13.0 | 13.9
| | SN(E/C) | 0.89
|
|
|
|
|
|
|
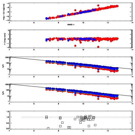
| 7280083
| 47
| | Red | Green | Blue
| | z | | 18.17
| | znorm | | 13.99
| | sky | 15.2 | 14.8 | 15.1
| | S/N | 7.9 | 14.4 | 14.3
| | S/N(c) | 6.8 | 13.2 | 13.4
| | SN(E/C) | 0.84
|
|
|
|
|
|
|
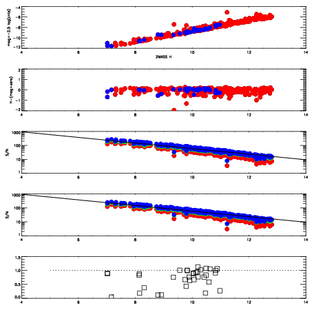
| 7280084
| 47
| | Red | Green | Blue
| | z | | 18.34
| | znorm | | 14.16
| | sky | 15.0 | 14.9 | 14.8
| | S/N | 8.5 | 15.8 | 16.7
| | S/N(c) | 7.6 | 14.3 | 15.9
| | SN(E/C) | 0.89
|
|
|
|
|
|
|
| 7280085
| 47
| | Red | Green | Blue
| | z | | 18.31
| | znorm | | 14.13
| | sky | 14.7 | 14.8 | 15.0
| | S/N | 8.4 | 15.6 | 15.8
| | S/N(c) | 7.4 | 14.1 | 14.8
| | SN(E/C) | 0.87
|
|
|
|
|
|
|
| 7280086
| 47
| | Red | Green | Blue
| | z | | 18.37
| | znorm | | 14.19
| | sky | 14.9 | 14.9 | 14.8
| | S/N | 8.9 | 16.5 | 16.5
| | S/N(c) | 7.8 | 15.0 | 15.7
| | SN(E/C) | 0.87
|
|
|
|
|
|
|
| 7280087
| 47
| | Red | Green | Blue
| | z | | 18.62
| | znorm | | 14.44
| | sky | 14.5 | 14.6 | 14.7
| | S/N | 10.4 | 18.4 | 19.1
| | S/N(c) | 9.1 | 17.2 | 18.0
| | SN(E/C) | 0.83
|
|
|
|
|
|
|
| 7280088
| 47
| | Red | Green | Blue
| | z | | 18.60
| | znorm | | 14.42
| | sky | 14.7 | 14.6 | 14.7
| | S/N | 10.2 | 18.2 | 19.1
| | S/N(c) | 9.0 | 17.1 | 18.2
| | SN(E/C) | 0.89
|
|
|
|
|
|
|
| 7280089
| 47
| | Red | Green | Blue
| | z | | 18.71
| | znorm | | 14.53
| | sky | 14.8 | 14.7 | 14.6
| | S/N | 10.9 | 19.2 | 20.3
| | S/N(c) | 9.8 | 18.1 | 19.3
| | SN(E/C) | 0.83
|
|
|
|
|
|
|
| 7280090
| 47
| | Red | Green | Blue
| | z | | 18.76
| | znorm | | 14.58
| | sky | 14.8 | 14.6 | 14.7
| | S/N | 11.0 | 19.7 | 20.8
| | S/N(c) | 9.9 | 18.5 | 20.0
| | SN(E/C) | 0.82
|
|
|
|
|
|
|