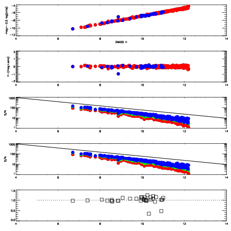
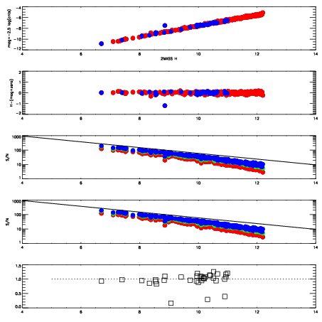
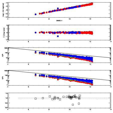
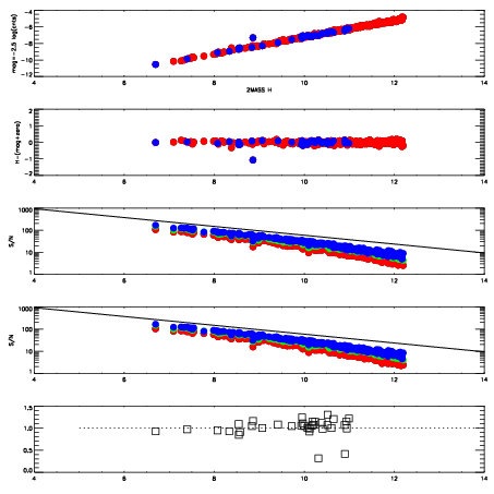
| Frame | Nreads | Zeropoints | Mag plots
| Spatial mag deviation
| Spatial sky 16325A emission deviations (filled: sky, open: star)
| Spatial sky continuum emission
| Spatial sky telluric CO2 absorption deviations (filled: H < 10)
|
| 7290037
| 47
| | Red | Green | Blue
| | z | | 17.03
| | znorm | | 12.85
| | sky | 13.1 | 13.0 | 13.0
| | S/N | 2.7 | 5.0 | 5.0
| | S/N(c) | 2.4 | 4.5 | 5.3
| | SN(E/C) | 1.06
|
|
|
|
|
|
|
| 7290038
| 47
| | Red | Green | Blue
| | z | | 16.90
| | znorm | | 12.72
| | sky | 13.1 | 13.0 | 13.1
| | S/N | 2.4 | 4.5 | 4.9
| | S/N(c) | 2.1 | 3.9 | 4.8
| | SN(E/C) | 1.02
|
|
|
|
|
|
|
| 7290039
| 47
| | Red | Green | Blue
| | z | | 17.24
| | znorm | | 13.06
| | sky | 13.3 | 13.2 | 13.3
| | S/N | 3.3 | 6.2 | 6.9
| | S/N(c) | 2.9 | 5.5 | 6.7
| | SN(E/C) | 1.00
|
|
|
|
|
|
|
| 7290040
| 47
| | Red | Green | Blue
| | z | | 17.01
| | znorm | | 12.83
| | sky | 13.3 | 13.2 | 13.3
| | S/N | 2.9 | 5.0 | 5.6
| | S/N(c) | 2.5 | 4.5 | 5.2
| | SN(E/C) | 1.02
|
|
|
|
|
|
|
| 7290041
| 47
| | Red | Green | Blue
| | z | | 17.02
| | znorm | | 12.84
| | sky | 13.3 | 13.2 | 13.3
| | S/N | 2.8 | 5.2 | 5.4
| | S/N(c) | 2.5 | 4.7 | 5.3
| | SN(E/C) | 0.98
|
|
|
|
|
|
|
| 7290042
| 47
| | Red | Green | Blue
| | z | | 17.54
| | znorm | | 13.36
| | sky | 13.3 | 13.3 | 13.4
| | S/N | 4.5 | 7.8 | 8.9
| | S/N(c) | 4.0 | 6.9 | 8.4
| | SN(E/C) | 1.02
|
|
|
|
|
|
|
| 7290043
| 47
| | Red | Green | Blue
| | z | | 17.24
| | znorm | | 13.06
| | sky | 13.3 | 13.2 | 13.3
| | S/N | 3.4 | 6.1 | 6.9
| | S/N(c) | 3.0 | 5.5 | 6.5
| | SN(E/C) | 1.04
|
|
|
|
|
|
|
| 7290044
| 47
| | Red | Green | Blue
| | z | | 17.06
| | znorm | | 12.88
| | sky | 13.2 | 13.1 | 13.2
| | S/N | 2.9 | 5.2 | 5.7
| | S/N(c) | 2.4 | 4.6 | 5.5
| | SN(E/C) | 1.04
|
|
|
|
|
|
|