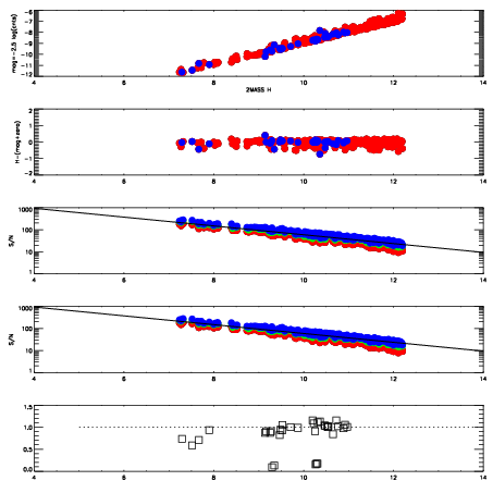
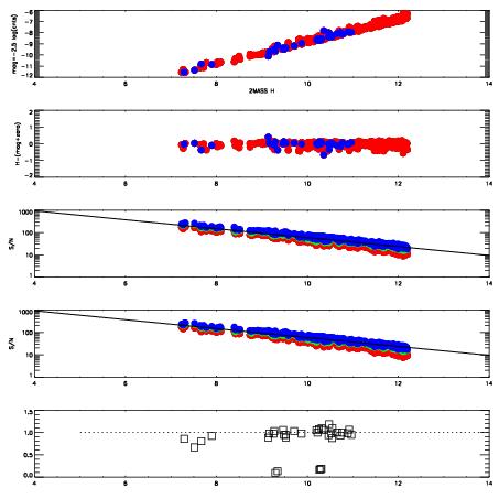
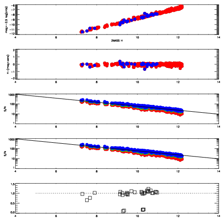
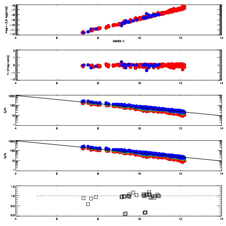
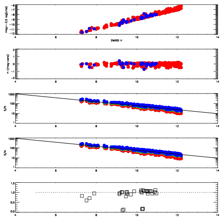
| Frame | Nreads | Zeropoints | Mag plots
| Spatial mag deviation
| Spatial sky 16325A emission deviations (filled: sky, open: star)
| Spatial sky continuum emission
| Spatial sky telluric CO2 absorption deviations (filled: H < 10)
|
| 7520026
| 47
| | Red | Green | Blue
| | z | | 18.90
| | znorm | | 14.72
| | sky | 14.8 | 14.3 | 14.2
| | S/N | 13.8 | 22.3 | 24.1
| | S/N(c) | 11.9 | 20.5 | 22.2
| | SN(E/C) | 0.99
|
|
|
|
|
|
|
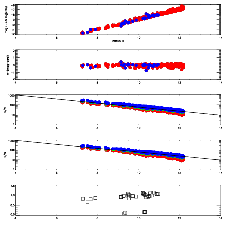
| 7520027
| 47
| | Red | Green | Blue
| | z | | 18.92
| | znorm | | 14.74
| | sky | 14.6 | 14.3 | 14.5
| | S/N | 13.7 | 22.4 | 24.3
| | S/N(c) | 11.9 | 20.5 | 22.4
| | SN(E/C) | 0.94
|
|
|
|
|
|
|
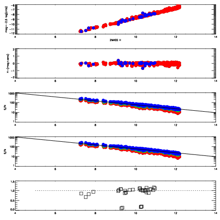
| 7520028
| 47
| | Red | Green | Blue
| | z | | 18.87
| | znorm | | 14.69
| | sky | 14.7 | 14.3 | 14.4
| | S/N | 13.1 | 21.9 | 23.4
| | S/N(c) | 11.5 | 20.1 | 21.5
| | SN(E/C) | 0.93
|
|
|
|
|
|
|
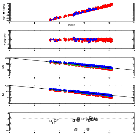
| 7520029
| 47
| | Red | Green | Blue
| | z | | 18.84
| | znorm | | 14.66
| | sky | 14.8 | 14.3 | 14.6
| | S/N | 12.7 | 21.4 | 23.4
| | S/N(c) | 11.0 | 19.6 | 21.6
| | SN(E/C) | 0.97
|
|
|
|
|
|
|
| 7520030
| 47
| | Red | Green | Blue
| | z | | 18.76
| | znorm | | 14.58
| | sky | 14.6 | 14.4 | 14.5
| | S/N | 12.3 | 20.6 | 21.9
| | S/N(c) | 10.5 | 18.7 | 19.9
| | SN(E/C) | 1.00
|
|
|
|
|
|
|
| 7520031
| 47
| | Red | Green | Blue
| | z | | 18.78
| | znorm | | 14.60
| | sky | 14.4 | 14.4 | 14.4
| | S/N | 12.4 | 20.7 | 22.3
| | S/N(c) | 10.6 | 18.9 | 20.6
| | SN(E/C) | 1.01
|
|
|
|
|
|
|
| 7520032
| 47
| | Red | Green | Blue
| | z | | 18.98
| | znorm | | 14.80
| | sky | 14.7 | 14.3 | 14.4
| | S/N | 14.1 | 23.4 | 24.8
| | S/N(c) | 12.2 | 21.4 | 23.1
| | SN(E/C) | 0.95
|
|
|
|
|
|
|
| 7520033
| 47
| | Red | Green | Blue
| | z | | 18.86
| | znorm | | 14.68
| | sky | 14.5 | 14.3 | 14.4
| | S/N | 13.1 | 21.9 | 23.2
| | S/N(c) | 11.3 | 20.0 | 21.4
| | SN(E/C) | 0.98
|
|
|
|
|
|
|