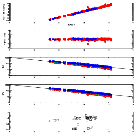
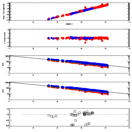
Left plots: red are targets, blue are telluric. Observed mags are calculated from median value of green chip. Zeropoint gives overall throughput: bigger number is more throughput.
First spatial plots: circles are objects, squares are tellurics, crosses are sky fibers. Colors give deviation of observed mag from expected 2MASS mag using the median zeropoint; red is brighter
Second spatial plots: circles are sky fibers. Colors give sky line brightness relative to plate median sky line brightness
FrameNreadsZeropointsMag plots Spatial mag deviation Spatial sky 16325A emission deviations (filled: sky, open: star) Spatial sky continuum emission Spatial sky telluric CO2 absorption deviations (filled: H < 10)
10030214 47
RedGreenBlue
z18.84
znorm14.66
sky 14.8 14.5 14.3
S/N 13.7 21.9 22.6
S/N(c) 12.0 19.9 21.4
SN(E/C) 0.95
10030215 47
RedGreenBlue
z18.88
znorm14.70
sky 14.4 14.5 14.5
S/N 13.7 22.3 23.2
S/N(c) 12.0 20.3 21.9
SN(E/C) 0.98