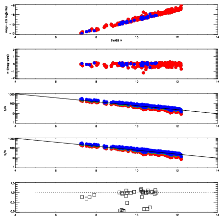
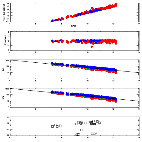
Left plots: red are targets, blue are telluric. Observed mags are calculated from median value of green chip. Zeropoint gives overall throughput: bigger number is more throughput.
First spatial plots: circles are objects, squares are tellurics, crosses are sky fibers. Colors give deviation of observed mag from expected 2MASS mag using the median zeropoint; red is brighter
Second spatial plots: circles are sky fibers. Colors give sky line brightness relative to plate median sky line brightness
FrameNreadsZeropointsMag plots Spatial mag deviation Spatial sky 16325A emission deviations (filled: sky, open: star) Spatial sky continuum emission Spatial sky telluric CO2 absorption deviations (filled: H < 10)
10040199 47
RedGreenBlue
z19.03
znorm14.85
sky 14.9 14.5 14.3
S/N 15.4 24.1 25.2
S/N(c) 13.7 22.2 24.1
SN(E/C) 0.97
10040200 47
RedGreenBlue
z19.06
znorm14.88
sky 14.5 14.5 14.6
S/N 15.2 23.4 25.5
S/N(c) 13.7 22.0 24.2
SN(E/C) 0.96