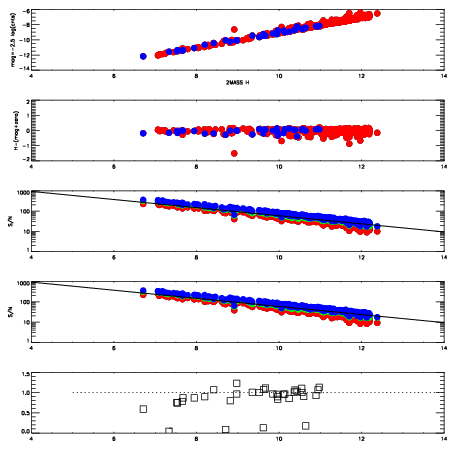
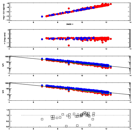
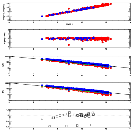
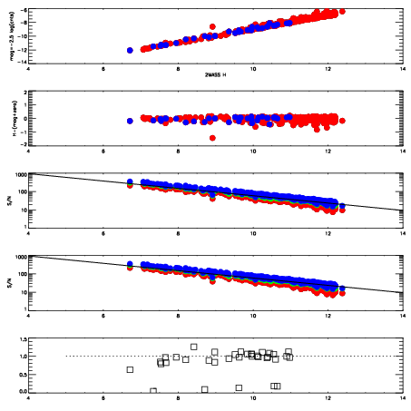
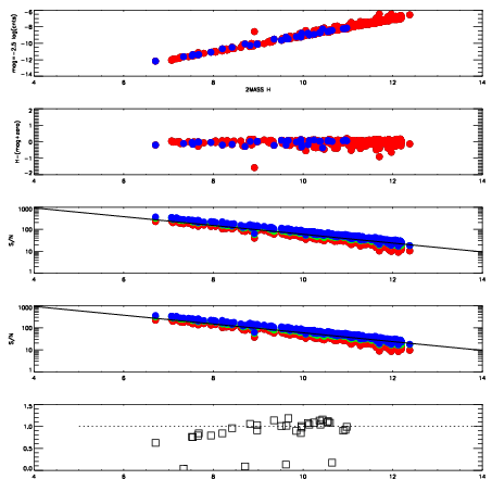
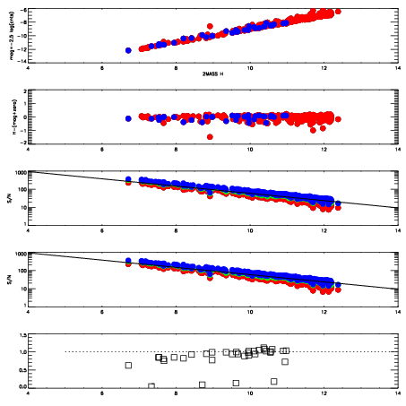
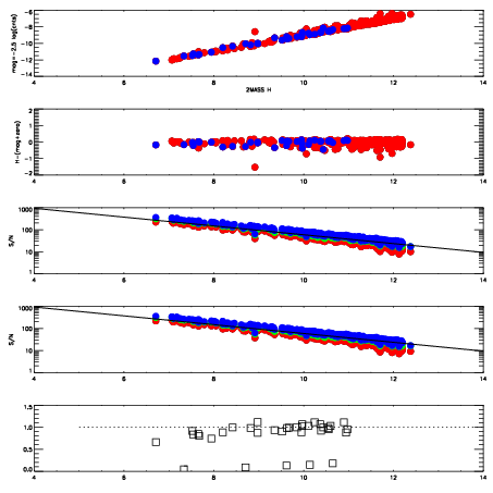
| Frame | Nreads | Zeropoints | Mag plots
| Spatial mag deviation
| Spatial sky 16325A emission deviations (filled: sky, open: star)
| Spatial sky continuum emission
| Spatial sky telluric CO2 absorption deviations (filled: H < 10)
|
| 10230084
| 47
| | Red | Green | Blue
| | z | | 18.99
| | znorm | | 14.81
| | sky | 14.7 | 14.3 | 14.1
| | S/N | 14.5 | 23.9 | 26.1
| | S/N(c) | 13.0 | 22.0 | 25.1
| | SN(E/C) | 0.94
|
|
|
|
|
|
|
| 10230085
| 47
| | Red | Green | Blue
| | z | | 19.02
| | znorm | | 14.84
| | sky | 14.7 | 14.3 | 14.5
| | S/N | 15.0 | 24.4 | 26.9
| | S/N(c) | 13.3 | 22.3 | 25.6
| | SN(E/C) | 0.93
|
|
|
|
|
|
|
| 10230086
| 47
| | Red | Green | Blue
| | z | | 18.96
| | znorm | | 14.78
| | sky | 14.7 | 14.3 | 14.4
| | S/N | 14.2 | 23.5 | 26.1
| | S/N(c) | 12.6 | 21.5 | 24.6
| | SN(E/C) | 0.97
|
|
|
|
|
|
|
| 10230087
| 47
| | Red | Green | Blue
| | z | | 19.00
| | znorm | | 14.82
| | sky | 14.6 | 14.5 | 14.6
| | S/N | 14.6 | 23.8 | 26.4
| | S/N(c) | 12.7 | 21.7 | 25.1
| | SN(E/C) | 0.97
|
|
|
|
|
|
|
| 10230088
| 47
| | Red | Green | Blue
| | z | | 19.06
| | znorm | | 14.88
| | sky | 14.7 | 14.5 | 14.4
| | S/N | 15.3 | 24.7 | 26.9
| | S/N(c) | 13.4 | 22.5 | 25.7
| | SN(E/C) | 0.96
|
|
|
|
|
|
|
| 10230089
| 47
| | Red | Green | Blue
| | z | | 19.07
| | znorm | | 14.89
| | sky | 14.6 | 14.5 | 14.5
| | S/N | 15.2 | 24.5 | 26.9
| | S/N(c) | 13.3 | 22.5 | 25.7
| | SN(E/C) | 0.97
|
|
|
|
|
|
|
| 10230090
| 47
| | Red | Green | Blue
| | z | | 19.09
| | znorm | | 14.91
| | sky | 14.5 | 14.5 | 14.5
| | S/N | 15.2 | 24.9 | 27.0
| | S/N(c) | 13.9 | 22.7 | 25.6
| | SN(E/C) | 0.95
|
|
|
|
|
|
|
| 10230091
| 47
| | Red | Green | Blue
| | z | | 19.13
| | znorm | | 14.95
| | sky | 14.7 | 14.4 | 14.4
| | S/N | 15.9 | 25.3 | 27.7
| | S/N(c) | 14.1 | 23.5 | 26.4
| | SN(E/C) | 0.93
|
|
|
|
|
|
|