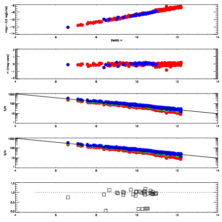
| Frame | Nreads | Zeropoints | Mag plots
| Spatial mag deviation
| Spatial sky 16325A emission deviations (filled: sky, open: star)
| Spatial sky continuum emission
| Spatial sky telluric CO2 absorption deviations (filled: H < 10)
|
| 7520037
| 47
| | Red | Green | Blue
| | z | | 18.78
| | znorm | | 14.60
| | sky | 14.6 | 14.1 | 14.1
| | S/N | 13.1 | 20.6 | 24.2
| | S/N(c) | 11.0 | 19.5 | 22.4
| | SN(E/C) | 0.93
|
|
|
|
|
|
|
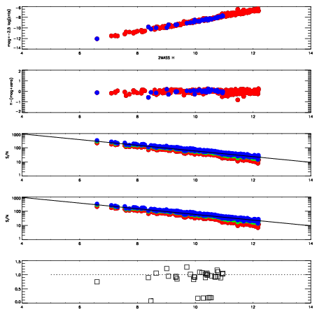
| 7520038
| 47
| | Red | Green | Blue
| | z | | 18.79
| | znorm | | 14.61
| | sky | 14.7 | 14.2 | 14.4
| | S/N | 13.0 | 21.2 | 24.5
| | S/N(c) | 10.8 | 19.6 | 22.6
| | SN(E/C) | 0.95
|
|
|
|
|
|
|
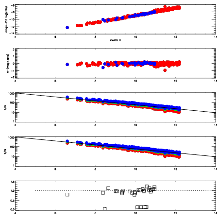
| 7520039
| 47
| | Red | Green | Blue
| | z | | 18.97
| | znorm | | 14.79
| | sky | 14.7 | 14.3 | 14.4
| | S/N | 14.9 | 23.6 | 26.2
| | S/N(c) | 12.6 | 21.9 | 24.2
| | SN(E/C) | 0.95
|
|
|
|
|
|
|
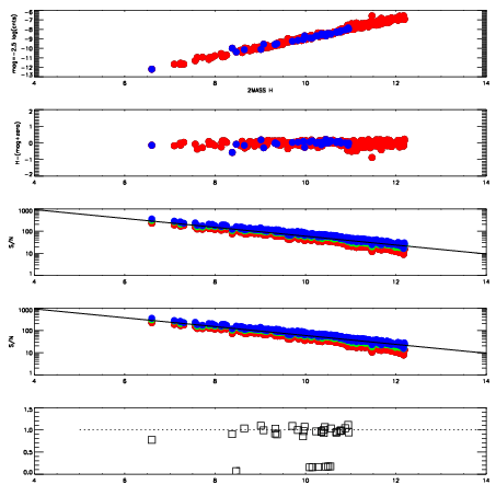
| 7520040
| 47
| | Red | Green | Blue
| | z | | 18.93
| | znorm | | 14.75
| | sky | 14.6 | 14.3 | 14.5
| | S/N | 14.2 | 23.0 | 25.9
| | S/N(c) | 12.2 | 21.2 | 23.9
| | SN(E/C) | 0.96
|
|
|
|
|
|
|
| 7520041
| 47
| | Red | Green | Blue
| | z | | 18.97
| | znorm | | 14.79
| | sky | 14.5 | 14.3 | 14.4
| | S/N | 14.6 | 23.4 | 26.4
| | S/N(c) | 12.6 | 21.5 | 24.5
| | SN(E/C) | 0.98
|
|
|
|
|
|
|
| 7520042
| 47
| | Red | Green | Blue
| | z | | 18.97
| | znorm | | 14.79
| | sky | 14.7 | 14.4 | 14.4
| | S/N | 14.5 | 23.5 | 26.3
| | S/N(c) | 12.3 | 21.6 | 24.7
| | SN(E/C) | 0.97
|
|
|
|
|
|
|
| 7520043
| 47
| | Red | Green | Blue
| | z | | 18.89
| | znorm | | 14.71
| | sky | 14.5 | 14.3 | 14.5
| | S/N | 13.9 | 22.5 | 25.4
| | S/N(c) | 12.0 | 20.7 | 23.5
| | SN(E/C) | 0.98
|
|
|
|
|
|
|
| 7520044
| 47
| | Red | Green | Blue
| | z | | 18.92
| | znorm | | 14.74
| | sky | 14.6 | 14.3 | 14.4
| | S/N | 14.1 | 22.9 | 25.7
| | S/N(c) | 12.2 | 21.1 | 24.0
| | SN(E/C) | 0.98
|
|
|
|
|
|
|